C/N、pH对银中杨–玉簪落叶及草坪碎屑混料腐解的影响

    Effects of C/N ratio and pH value on the decomposition of a mixture of Populus alba×P. berolinensis-Hosta plantaginea fallen leaves and turf grass clippings

    • 摘要:
      目的  以银中杨Populus alba×P. berolinensis–玉簪Hosta plantaginea落叶和草坪碎屑为基础材料,通过对混料C/N、pH的调控,筛选混料腐解的最佳条件。
      方法  采用室内培养法对银中杨–玉簪落叶及草坪碎屑混料进行60 d恒温好氧腐解,设置物料C/N为10、15和20以及pH为4、7和10,探讨其对混料腐解过程中水溶性有机碳(WSOC)、可提取腐殖酸碳(HEC)、胡敏酸碳(HAC)、富里酸碳(FAC)及胡敏素碳(HuC)含量的影响。
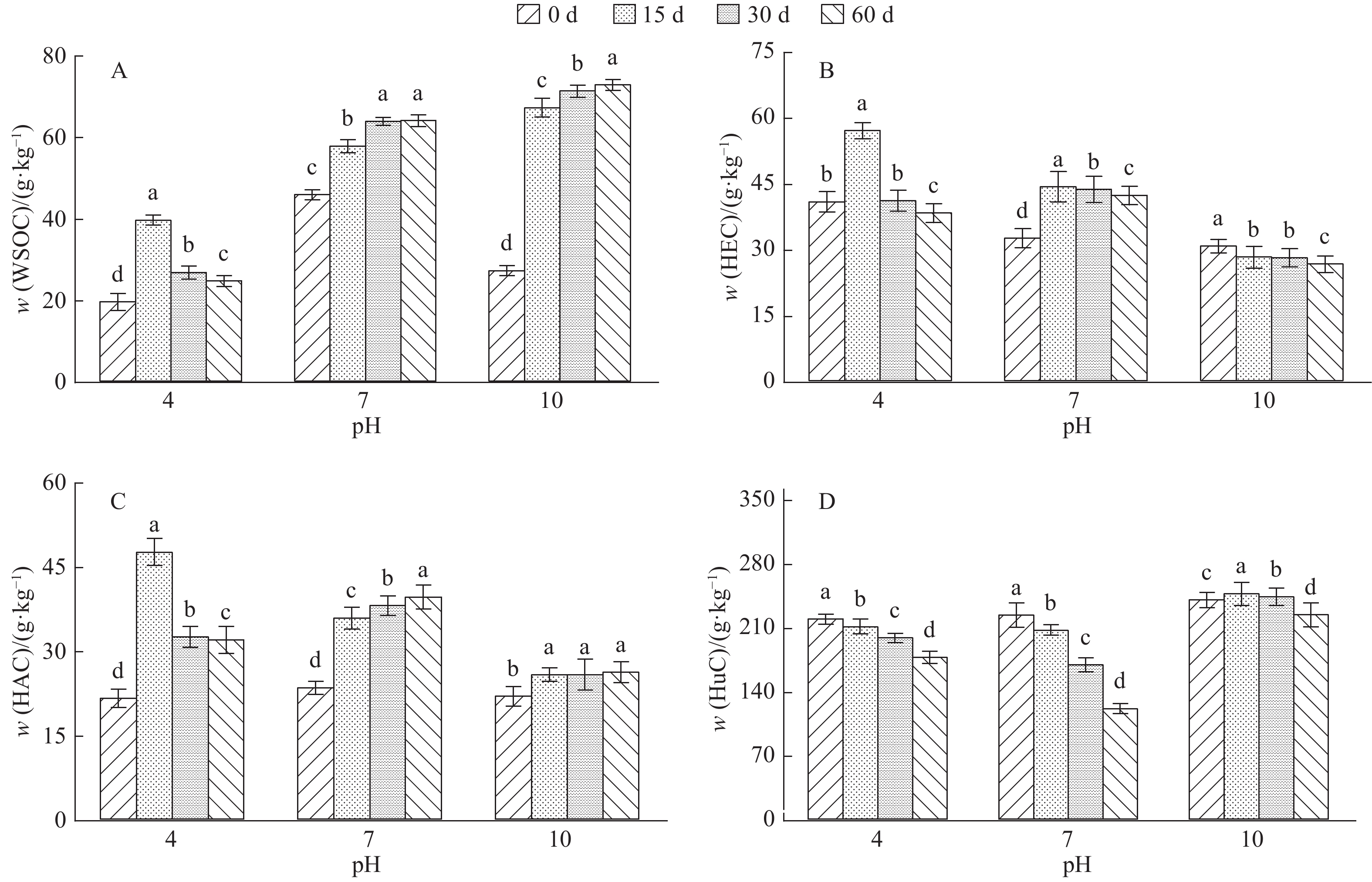
      结果  将C/N设为10或15时,培养结束后混料HEC及HAC均有所累积,而将混料C/N设为20则更有利于微生物对WSOC、HEC及HuC的矿化及周转。C/N为15或20时,培养结束后混料腐殖质品质有所改善,而在混料中添加更多氮素使C/N为10时,则在一定程度上阻碍了FAC向HAC的转化。混料C/N为20更有利于其胡敏酸(HA)分子结构的简单化,其次是C/N为10,而C/N为15时更有利于HA分子结构的稳定;混料pH为7有利于微生物对HuC的矿化,使HEC和HAC含量分别增高30.0%和69.0%。混料pH为10时对HAC/FAC的促进程度最大,使之增加78.3%,pH为4或7时对混料HAC/FAC的促进程度较小。
      结论  C/N为15、pH为7时,对银中杨–玉簪落叶及草坪碎屑混料腐解的促进作用最为显著。

       

      Abstract:
      Objective  Using Populus alba×P. berolinensis-Hosta plantaginea fallen leaves and turf grass clippings as basic materials, to screen the optimum decompositon condition of mixed materials by adjusting C/N ratio and pH value.
      Method  The mixed materials of P. alba×P. berolinensis-H. plantaginea fallen leaves and turf grass clippings were cultured in thermostatic room for 60 days to conduct aerobic decomposition. Different C/N ratios (10, 15, 20) and pH values (4, 7, 10) were setted to explore their effects on contents of water soluble organic carbon (WSOC), humic-extracted acid C(HEC), humic acid C(HAC), fulvic acid C(FAC) and humin C(HuC) during the decomposition process.
      Result  HEC and HAC extracted from the mixed materials were both accumulated at the end of culture while C/N ratio was 10 or 15, and C/N ratio of 20 was more beneficial to the microbial mineralization and turnover of WSOC, HEC and HuC. When C/N ratio was 15 or 20, the humic quality of mixed materials was enhanced after 60 days of culture. The transformation of FAC to HAC was partly restrained if C/N ratio was set to 10 by applying more nitrogen into the mixed materials. The C/N ratio of 20 was more beneficial to the simplification of humic acid (HA) molecular structure, followed by C/N ratio of 10. C/N ratio of 15 was more favorable to the stabilization of HA molecular structure. The microbial mineralization of HuC could be promoted when pH value of mixed materials was 7, and the contents of HEC and HAC were increased by 30.0% and 69.0% respectively in the decomposition process. When pH value of mixed materials was adjusted to 10, HAC/FAC ratio was mostly promoted and increased by 78.3%, while pH value of 4 or 7 had relatively smaller effect on HAC/FAC ratio promotion.
      Conclusion  The combination of C/N ratio of 15 and pH value of 7 mostly promotes the decomposition of mixed materials composed with P. alba×P. berolinensis-H. plantaginea fallen leaves and turf grass clippings.

       

    /

    返回文章
    返回