系谱错误对ssGBLUP估计育种值可靠性的影响

    Effects of genealogical errors on the reliability of ssGBLUP to estimate breeding values

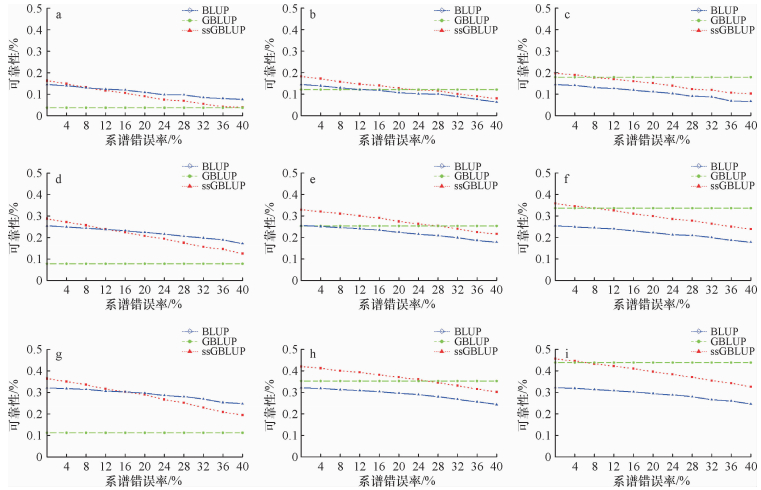
    • 摘要: 本研究旨在探讨系谱错误对ssGBLUP估计育种值(EBV)可靠性的影响程度,研究不同遗传力、参考群、系谱错误下ssGBLUP、GBLUP和BLUP对EBV可靠性的影响。使用QMSim软件进行数据模拟,BLUPf90软件进行数据分析。结果表明,遗传力的高低与系谱错误率对ssGBLUP预测EBV可靠性的趋势无关。当参考群逐渐增大时,ssGBLUP对系谱错误的容忍程度逐渐降低;随着系谱错误率增大,ssGBLUP估计育种值的可靠性呈线性下降趋势。

       

      Abstract: This study was aimed to study the influence of genealogical errors on the reliability of estimated breeding values (EBV) obtained by ssGBLUP. Under the condition of different heritabilities, reference groups and genealogical errors, effects of ssGBLUP, GBLUP and BLUP on the reliability of EBV were evaluated. Data were simulated using QMSim software and analyzed by BLUPf90 software. The results showed that the heritability degree and genealogical error rate had nothing to do with reliability of EBV. The tolerance of ssGBLUP to genealogical errors decreased gradually with the gradual increase of reference group. The reliability of EBV obtained by ssGBLUP decreased linearly with the increase of genealogical error rate.

       

    /

    返回文章
    返回