茉莉酸甲酯和乙烯对番茄果实中类胡萝卜素积累的影响

    Effects of methyl jasmonate and ethylene on carotenoid accumulation in tomato fruits

    • 摘要:
      目的 类胡萝卜素含量是影响番茄Solanum lycopersicum果实色泽和口感的重要因素。本研究旨在解析在番茄成熟过程中茉莉酸对类胡萝卜素积累的影响。
      方法 采摘授粉后38 d的番茄果实,施加外源激素及抑制剂,培养5 d后检测果实中类胡萝卜素的含量,并利用 qRT-PCR 技术系统分析番茄成熟过程中类胡萝卜素合成基因的表达变化,研究茉莉酸、乙烯及抑制剂对这些基因表达的影响。
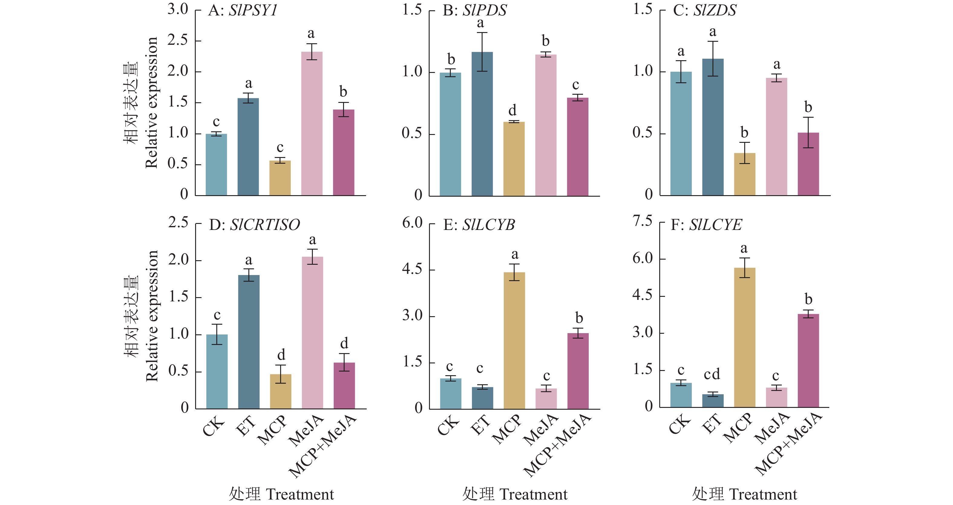
      结果 乙烯和茉莉酸甲酯处理组番茄类胡萝卜素的质量浓度是对照组的1.73和1.65倍,且类胡萝卜素合成相关基因 SlCRTISOSlPSY1 的表达量上调。此外,乙烯生物合成通路基因 SlACS1SlACS2 、SlACS3、SlACO1、SlACO2、SlACO3SlACO5SlACO6 及乙烯信号转导通路基因 SlERF.B3SlEIL2 的表达量上调,茉莉酸信号转导通路核心基因 SlMYC2 的表达量也上调。
      结论 茉莉酸甲酯对番茄果实中类胡萝卜素积累具有上调作用,并影响主导果实成熟的关键激素−乙烯的合成及信号转导。本研究结果为发现茉莉酸调控番茄果实中类胡萝卜素合成的机制提供了较为重要的线索,对实现番茄果实的成熟调控有指导意义。

       

      Abstract:
      Objective Carotenoid content is an important factor affecting the color and taste of tomato (Solanum lycopersicum) fruit. This study aims to investigate the effect of jasmonic acid on carotenoid accumulation during tomato ripening,
      Method Tomato fruits at 38 days after pollination were harvested, treated with exogenous hormones and their inhibitors and cultivated for five days. The carotenoid content was measured, and the expression changes of carotenoid synthesis genes during tomato ripening were systematically analyzed using qRT-PCR technology. The effects of jasmonic acid, ethylene and their inhibitors on the expression of these genes were studied.
      Result The results showed that methyl jasmonate and ethylene treatments increased the carotenoid mass concentrations to 1.65-fold and 1.73-fold of the control, respectively, and upregulated the expression levels of carotenoid synthesis-related genes SlCRTISO and SlPSY1. In addition, the expression levels of ethylene biosynthesis pathway genes SlACS1, SlACS2, SlACS3, SlACO1, SlACO2, SlACO3, SlACO5 and SlACO6, and ethylene signal transduction pathway genes SlERF.B3 and SlEIL2 were up-regulated. The expression of the core gene SlMYC2 of the jasmonic acid signal transduction pathway was also up-regulated.
      Conclusion Methyl jasmonate positively regulates carotenoid accumulation in tomato fruits, and affects the synthesis and signal transduction of ethylene, the key hormone controlling fruit ripening. This study provides important clues for understanding jasmonic acid-mediated regulation of carotenoid synthesis, with implications for controlling tomato fruit ripening.

       

    /

    返回文章
    返回