基于改进粒子群算法的高地隙无人喷雾机对不规则凸田块的全覆盖作业路径规划

    Complete coverage path planning of irregular convex field for the high clearance unmanned sprayer based on improved particle swarm optimizer algorithm

    • 摘要:
      目的 满足高地隙无人喷雾机自主导航全覆盖作业的应用需求并优化农机作业效率。
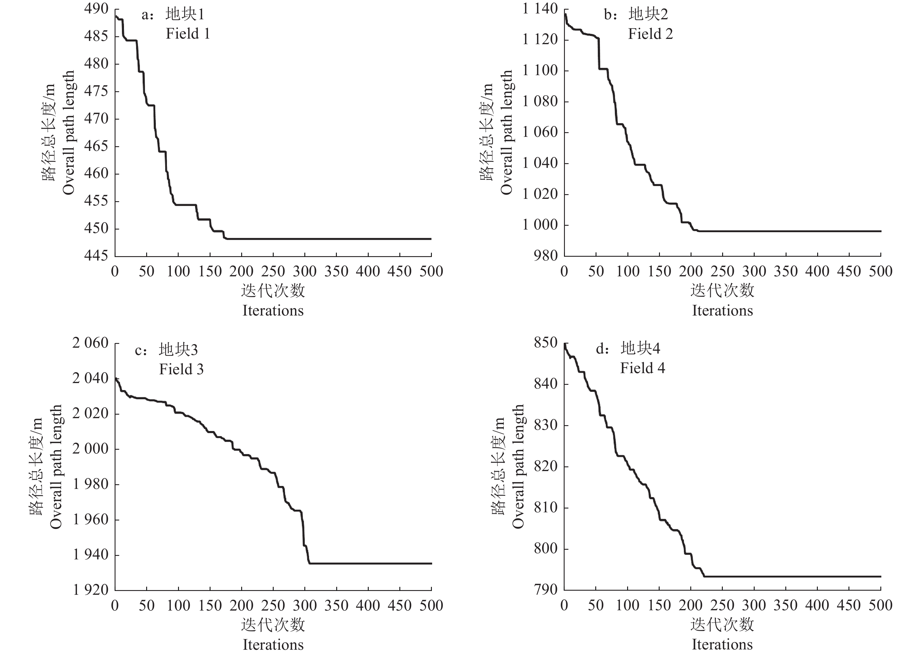
      方法 提出了一种针对不规则凸田块的全覆盖遍历路径规划算法。首先,通过获取农田区域的边界数据,得到不规则凸田块的边界轮廓模型;其次,在传统U型转弯方式的基础上,引入作业行与田块边界的夹角,对作业行间的衔接路径原理进行详细阐述;由经过不规则凸区域中心点的直线进行平行线偏移,生成随机方向角的全覆盖作业行后,通过改进的粒子群优化(Particle swarm optimizer,PSO)算法对作业行方向角进行最优化,规划出遍历田块的全覆盖作业路径;最后,将算法在4块典型实际田块中进行仿真测试。
      结果 与传统路径规划算法相比,改进PSO算法在1~4个田块的总遍历距离分别减少9.01、23.25、8.71和14.32 m,转弯次数减少率分别下降11.1%、61.5%、16.7%和5.3%,额外覆盖比分别减少0.20、0.96、0.45和1.96个百分点,有效减少了无人农机的能量消耗、提高了作业效率。
      结论 在作业区域被完全覆盖的前提下,本算法能规划出无人农机行驶路程较短、覆盖率较高和转弯次数较少的作业路径,可为无人农机的路径规划技术的发展提供理论支撑。

       

      Abstract:
      Objective In order to meet the application requirements of autonomous navigation full-coverage operation of high clearance unmanned sprayers and optimize the efficiency of agricultural machine operation.
      Method A complete coverage traversal path planning algorithm for irregular convex fields was proposed. Firstly, an boundary contour model of irregularly convex field was obtained based on the boundary data of farmland area. Secondly, on the basis of the traditional U-turn pattern, the angle between the operation rows and the field boundaries was introduced to elaborate the principles of articulated paths between the operation rows in detail. After generating complete coverage operation rows with random direction angles by parallel line offset from the straight line passing through the center point of the irregular convex region, the direction angles of the operation rows were optimized by the improved particle swarm optimizer (PSO) algorithm, and the field traversal complete coverage working paths were generated. Finally, the algorithm was tested through simulations on four typical real-world fields.
      Result Compared with traditional path planning algorithms, the proposed algorithm reduced the total traversal distance by 9.01, 23.25, 8.71 and 14.32 m in fields 1 to 4, respectively. The reduction rates of the number of turns were 11.1%, 61.5%, 16.7% and 5.3%, while the additional coverage rates decreased by 0.20, 0.96, 0.45 and 1.96 percentage points, respectively. These improvements effectively reduced the energy consumption of unmanned agricultural machinery and enhanced operational efficiency.
      Conclusion Under the premise of complete coverage for the operation area, the proposed algorithm can generate operation paths for unmanned agricultural machinery with shorter travel distances, higher coverage rates and fewer turns. This provides a theoretical support for the development of path planning technology for unmanned agricultural machinery.

       

    /

    返回文章
    返回