大黄酸衍生物的合成及抗感染活性评价

    Synthesis and anti-inflammatory activity evaluation of rhein derivatives

    • 摘要:
      目的 选择羟基癸酸和癸醇作为修饰物对大黄酸进行结构修饰,提高其脂溶性,降低毒副作用,提升抗感染抗氧化活性,以促进临床应用。
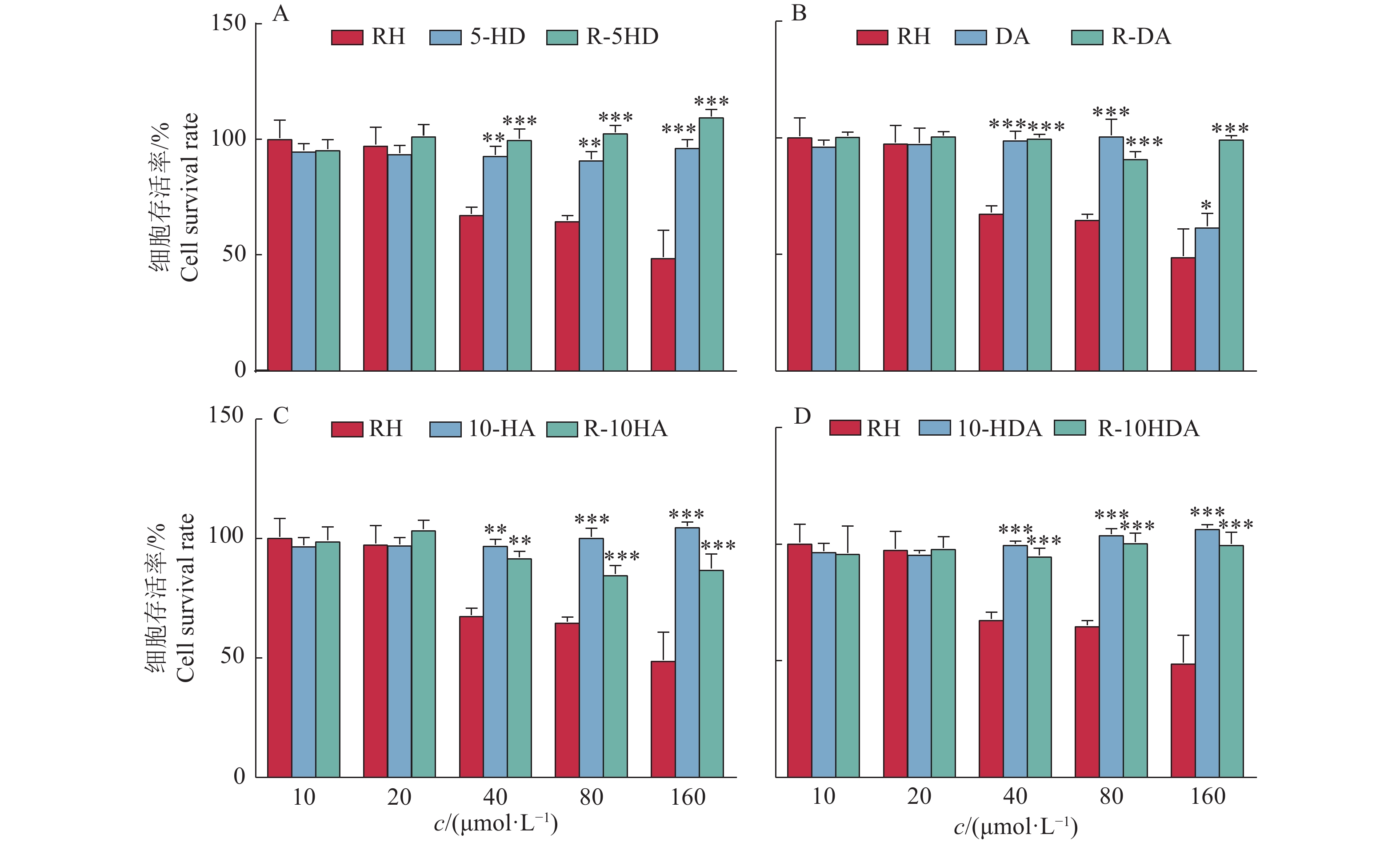
      方法 首先,基于大黄酸构效关系,选择大黄酸的羧基与十碳羟基癸酸和癸醇进行酯化反应,合成4种大黄酸衍生物——大黄酸−5−癸醇(R-5HD)、大黄酸−癸醇(R-DA)、大黄酸−10−羟基癸酸(R-10HA)、大黄酸−10−羟基−2−癸烯酸(R-10HDA),通过核磁共振氢谱(1H NMR)和傅里叶变换红外光谱(FTIR)确定大黄酸衍生物的化学结构特征。其次,采用CCK-8试剂盒测定大黄酸及其衍生物对小鼠单核巨噬细胞RAW 264.7存活率的影响,确定大黄酸及其衍生物的适用浓度范围。最后,为了验证大黄酸衍生物的抗感染活性,构建脂多糖(LPS)诱导的RAW 264.7细胞模型,测定其对活性氧(ROS)水平,一氧化氮(NO)释放量,肿瘤坏死因子−α (TNF-α)、白细胞介素−1β(IL-1β)、白细胞介素−6(IL-6)表达量的影响;通过ROS荧光探针双氯荧光黄乙酸乙酯(DCFH-DA)分析大黄酸衍生物的抗氧化活性。
      结果 1H NMR和FTIR结果证明4种大黄酸衍生物成功制备。经体外抗感染模型验证,大黄酸经修饰后毒性显著降低。与大黄酸相比,大黄酸衍生物显著提高RAW 264.7细胞存活率。在LPS处理的RAW 264.7细胞模型中,大黄酸衍生物可以更好地发挥抗感染、抗氧化活性。4种大黄酸衍生物均显著降低NO释放量以及TNF-α、IL-6和IL-1β的表达量,R-DA的抗感染效果最优。与大黄酸相比,大黄酸衍生物均显著抑制ROS的产生。
      结论 本研究聚焦于利用十碳羟基癸酸或者癸醇对大黄酸进行结构修饰,通过体外试验证实,R-DA具有更强的抗感染、抗氧化活性,为后续大黄酸衍生物的研究和开发提供了理论依据。

       

      Abstract:
      Objective To conduct structural modification of rhein by using hydroxydecanoic acid and decanol as modifiers, increase lipid solubility of rhein, reduce toxic effects, and improve anti-inflammatory and antioxidant effects for potential clinical application.
      Method Firstly, based on the structure-activity relationship of rhein, the carboxyl group in rhein was selected for esterification with ten-carbon hydroxydecanoic acid and decanol to synthesize four rhein derivatives including rhubarb-5-hydroxydecanol (R-5HD), rhubarb-hydroxydecanol (R-DA), rhubarb-10-hydroxydecanoic acid (R-10HA) and rhubarb-10-hydroxy-2-denoic acid (R-10HDA). The chemical structural characteristic of rhein derivatives were investigated by 1H nuclear magnetic resonance (1H NMR) and Fourier transform infrared spectroscopy (FTIR). Secondly, the CCK-8 kit was used to determine the effects of rhein derivatives on survival rates of mouse mononuclear macrophage cells RAW 264.7. The most suitable concentration ranges of rhein and its derivatives were determined according to the survival rates of cells. Finally, to further verify the anti-inflammatory activity of rhein derivatives, a lipopolysaccharide (LPS)-induced RAW 264.7 cell model was constructed, and the reactive oxygen species (ROS) level, nitric oxide (NO) release amount, as well as tumour necrosis factor-α (TNF-α), interleukin-1β (IL-1β) and interleukin-6 (IL-6) expressions were determined. The antioxidant activity of rhein derivatives were analyzed by the ROS fluorescent probe 2,7-dichlorofluorescin diacetate (DCFH-DA).
      Result Four rhein derivatives were prepared successfully and proved by 1H NMR and FTIR. The in vitro anti-inflammatory model validation showed that the cytotoxicity of rhein after modification was significantly reduced; Four rhein derivatives significantly increased the cell viability of RAW 264.7 compared with rhein. The rhein derivatives had better anti-inflammatory and antioxidant activity in the LPS-treated RAW 264.7 cell model. All four rhein derivatives significantly reduced NO release, as well as the expressions of TNF-α, IL-6 and IL-β. All four rhein derivatives significantly inhibited ROS production compared to rhein.
      Conclusion This study focuses on the structural modification of rhein by hydroxydecanoic acid and decanol. In vitro experiment confirmes that R-DA has stronger anti-inflammatory and antioxidant activities, which provides a theoretical basis for the subsequent research and development of rhein derivatives.

       

    /

    返回文章
    返回