粗皮桉早期生长模型拟合以及生长节律研究

    Early growth model fitting and growth rhythm of Eucalyptus pellita

    • 摘要:
      目的 利用来自巴布亚新几内亚南部和澳大利亚东北部9个粗皮桉Eucalyptus pellita种源的试验林材料开展生长节律研究,为粗皮桉良种选育及经营管理提供科学依据。
      方法 通过随机区组设计试验,利用巢氏方差分析法分析粗皮桉9个种源共98个家系的生长节律变异规律。获取各种源地气候环境因子信息,运用Pearson法分析生长性状与地理及气候因子的相关性。对比Logistic、Gompertz和Von Bertalanffy 3种模型的拟合结果,选择最佳模型计算粗皮桉的生长节律。采用系统聚类方法开展优良家系筛选。
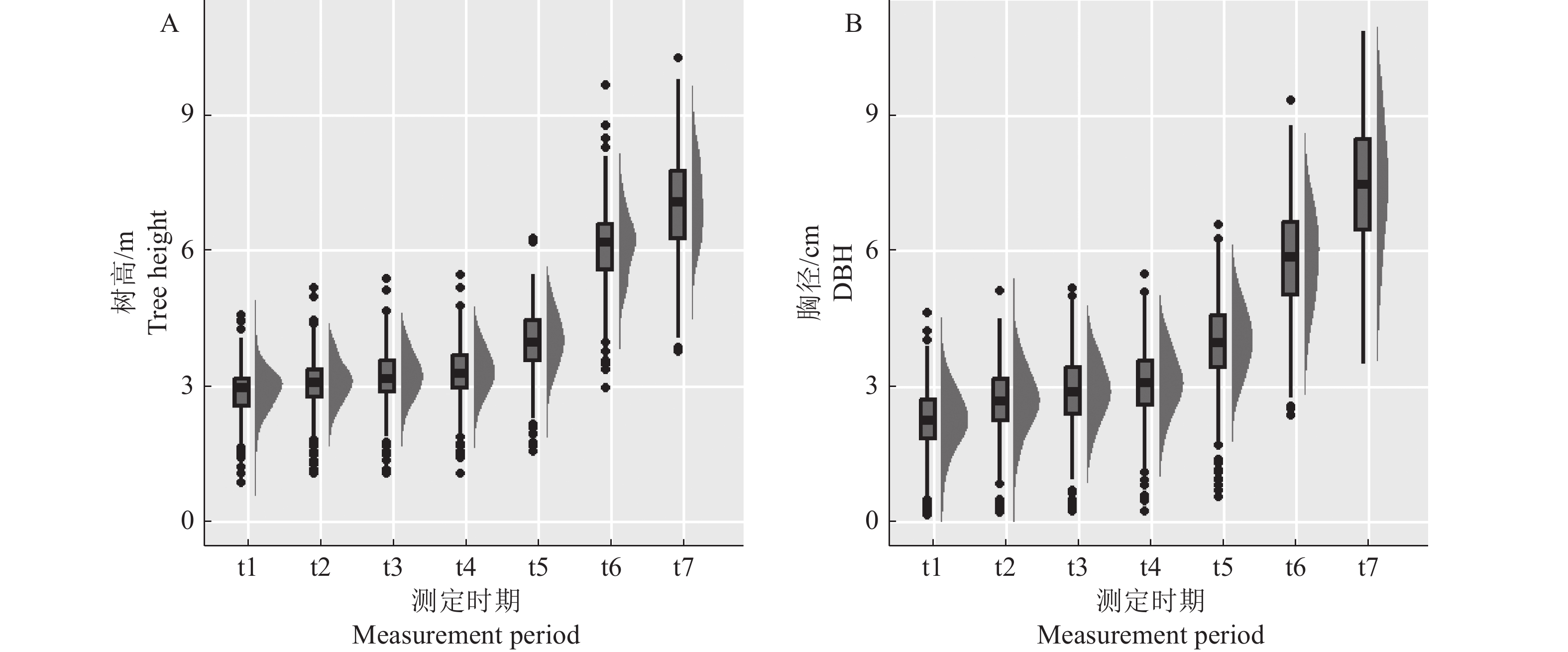
      结果 2.5年生粗皮桉树高和胸径在种源、家系水平差异显著(P<0.05)。种源树高与等温性呈显著正相关,呈典型的纬向变异模式。Logistic模型对粗皮桉树高和胸径的拟合效果最佳,利用Logistic模型计算生长节律得出树高的最大加速时期(T1)、最大减速时期(T2)和线性生长时期(L)平均值分别为96、636和540 d,胸径的T1T2L平均值分别为165、681和516 d。利用2.5年生粗皮桉的生长性状进行系统聚类分析,从98个家系中筛选出一般家系29个、中等家系30个、优秀家系39个;结合生长节律T1的聚类分析,将3个等级的家系均再划分为Ⅰ、Ⅱ、Ⅲ 3类。
      结论 2.5年生粗皮桉在种源、家系水平上生长性状与生长节律变异丰富,利用Logistic模型计算的生长节律可以为粗皮桉早期抚育管理及良种选育提供理论依据。

       

      Abstract:
      Objective To investigate growth rhythm using nine Eucalyptus pellita provenances in southern Papua New Guinea and northeastern Australia, provide a scientific basis for the breeding and management of E. pellita.
      Method A randomized block design experiment was conducted, and nested analysis of variance was utilized to analyze the growth rhythm variation patterns of 98 families from nine E. pellita provenances. The information of climate and environment factors in various sources were obtained, and Pearson method was used to reveal the correlation between growth traits and geography/climate factors. The fitting results of Logistic, Gompertz and Von Bertalanffy models were compared to select the optimal model, and calculate the growth rhythm of E. pellita. The excellent family selection was carried out by systematic clustering method.
      Result Significant differences were observed in the tree height and DBH of 2.5-year-old E. pellita at provenance and family levels (P<0.05). Furthermore, a significant and positive correlation was found between isothermality and tree height of the provenances, exhibiting typical zonal variation patterns. The Logistic model had the best fitting effect on tree height and DBH of E. pellita. The Logistic model calculated the growth rhythms, with the average values of the maximum acceleration period (T1), maximum deceleration period (T2), and linear growth period (L) for tree height being 96, 636 and 540 d respectively, as well as for DBH being 165, 681 and 516 d respectively. A systematic cluster analysis was conducted using the growth traits of 2.5-year-old E. pellita, and 29 general families, 30 medium families and 39 outstanding families were selected from 98 families. All the families of the three grades were further classified into three categories of I, II and III according to the cluster of growth rhythm T1.
      Conclusion The growth traits and growth rhythm of 2.5-year-old E. pellita exhibited considerable variation at provenance and family levels. The growth rhythm calculated using Logistic model can provide a theoretical basis for optimizing seedling rearing and management, as well as improved variety breeding of E. pellita.

       

    /

    返回文章
    返回