水稻溶血磷脂酸酰基转移酶基因(LPAT)家族生物信息学分析及在籽粒油脂合成中的作用

    Bioinformatics analysis of rice lysophosphatidic acid acyltransferase gene (LPAT) family and its function in the oil synthesis of rice grains

    • 摘要:
      目的 挖掘水稻溶血磷脂酸酰基转移酶(Lysophosphatidic acid acyltransferase,LPAT)基因家族成员信息,分析其生物信息学特征及在水稻籽粒油脂合成中的作用。
      方法 通过生物信息学分析,对OsLPAT基因家族进行基因结构、系统进化树、组织表达谱以及激素和逆境表达谱等分析。利用比较代谢组和转录组学的方法,分析OsLPAT家族各成员在水稻籽粒油脂合成中的作用。
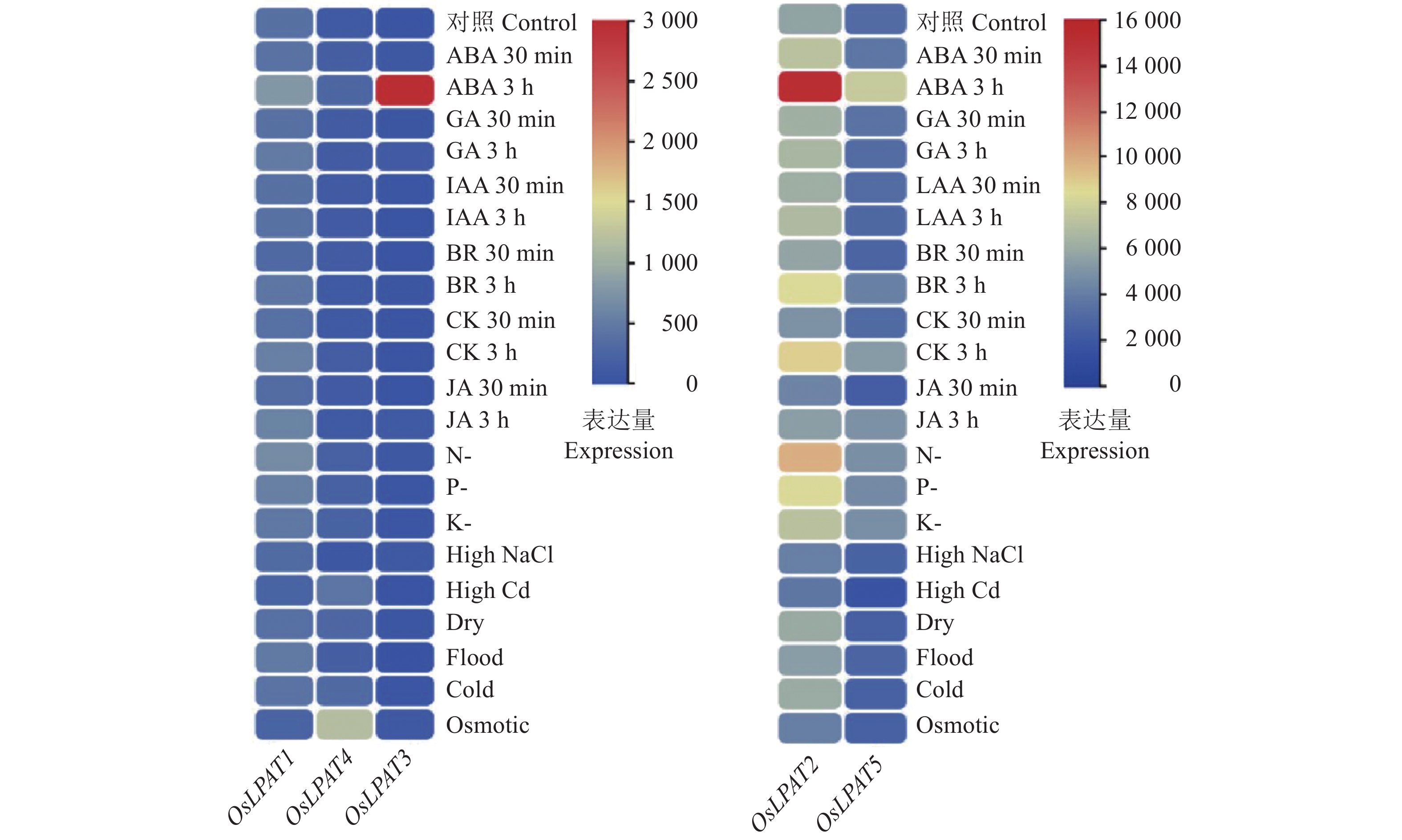
      结果 水稻基因组中LPAT家族包含5个成员,分别命名为OsLPAT1~OsLPAT5。除OsLPAT1外,其他成员均含有4~6个外显子,且各成员均包含Acyltransferase C-terminus (PF01553)结构域;进化分析显示,LPAT基因在单子叶植物中较为保守;OsLPAT2的表达受多种逆境条件及激素诱导,OsLPAT3和OsLPAT5的表达受到脱落酸(Abscisic acid,ABA)的强烈诱导,而OsLPAT4则特异性地受到渗透胁迫的诱导;比较代谢组和转录组学分析显示,OsLPAT家族各成员分别在籽粒发育的不同阶段发挥功能,从而促进油脂(Triacylglycerol,TAG)合成。
      结论 水稻基因组中存在5个LPAT基因,其表达受到不同激素的诱导,可能在水稻激素响应过程中发挥作用。该家族成员参与了不同发育阶段籽粒中的油脂前体磷脂酸(Phosphatidic acid,PA)的合成,从而正调控籽粒中的油脂合成。

       

      Abstract:
      Objective To explore the information of rice lysophosphatidic acid acyltransferases (LPAT) gene family, and analyze the bioinformatics characteristics and its role in rice grain oil synthesis.
      Method Through bioinformatics analysis, the gene structure, phylogenetic tree, tissue expression profiles, hormone and stress expression profiles of OsLPAT gene family were analyzed. The roles of OsLPAT family members in rice grain oil synthesis were analyzed by comparative metabolomics and transcriptome methods.
      Result The rice genome contain five LPAT genes, named OsLPAT1-OsLPAT5. Except OsLPAT1, other members all contain 4−6 exons, and each member contains the acyltransferase C-terminal (PF01553) domain. The evolutionary analysis showed that the LPAT genes were relatively conservative in monocotyledon. OsLPAT2 was sensitive to various stress conditions and hormones. The expressions of OsLPAT3 and OsLPAT5 were strongly induced by abscisic acid (ABA), while OLPAT4 was specifically induced by osmotic stress. Comparative metabolomics and transcriptome analysis showed that each member of the OsLPAT family played roles in different stages of grain development, thereby promoting the synthesis of oil triacylglycerol (TAG).
      Conclusion There are five LPAT genes in rice genome, whose expression are induced by different hormones and may play roles in the hormone response process of rice. The members of this family are involved in the synthesis of phosphatidic acid (PA), the oil precursor in grains at different development stages, thus positively regulating the oil synthesis in rice grains.

       

    /

    返回文章
    返回