采食高淀粉高油日粮奶牛的泌乳性能、乳成分变化及乳腺差异表达基因筛选

    Changes in milk production and milk composition of dairy cows fed with high starch and oil diet, and screening of differentially expressed genes in mammary glands

    • 摘要:
      目的 研究高淀粉高油日粮对奶牛泌乳性能和乳腺组织转录组的影响,探索乳脂下降综合征(Milk fat depression,MFD)的分子机制。
      方法 选用8头荷斯坦泌乳奶牛,随机分为对照组和处理组(4头/组),采用2×2反转试验设计,分为2期,每期23 d,期间2组对调。每期的前16 d,对照组奶牛饲喂低淀粉低油的基础饲粮,对照组日粮的泌乳净能为6.78 MJ/kg;处理组奶牛在基础饲粮基础上添加266 g/kg(DM基础)细粉碎玉米和46 g/kg(DM基础)大豆油;后7 d 2组奶牛均喂基础饲粮,处理组日粮的泌乳净能为7.66 MJ/kg。分别于每期的第1、4、7、10、13、16、19和22天测定产奶量和乳成分,第16天采集乳腺组织用于检测转录本的变化。
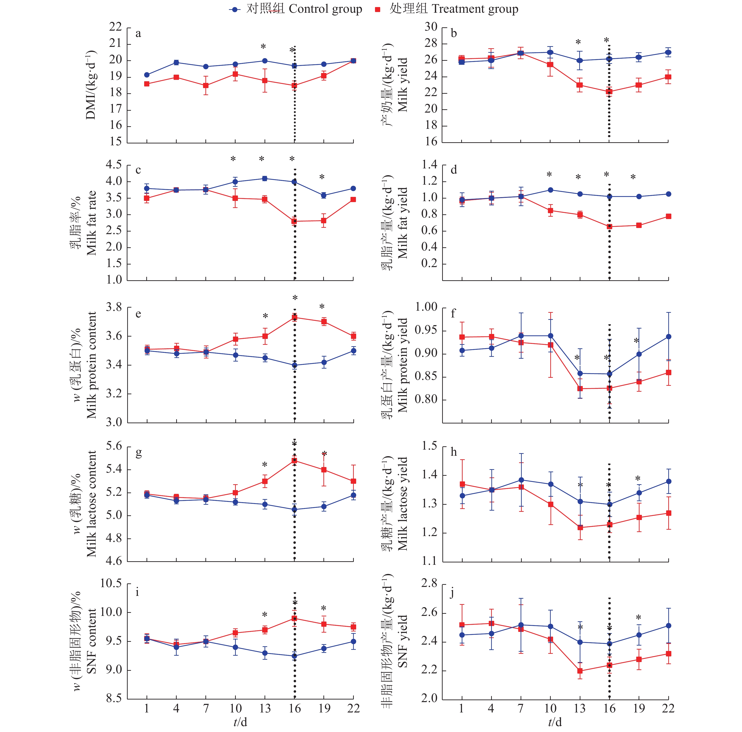
      结果 与对照组相比,处理组第13、16天奶牛的干物质采食量和产奶量显著降低(P<0.05);饲喂高淀粉高油饲粮7 d后乳脂率开始降低,其中,第10、13、16和19天的乳脂率和乳脂产量显著降低(P<0.05);第13、16和19天的乳蛋白、乳糖和非脂固形物含量显著提高(P<0.05)。在奶牛乳腺对照组和处理组中共检测到235个显著差异表达的基因,其中,64个上调、171个下调。GO分析表明,差异表达基因主要与炎症反应、α−氨基酸代谢、有机氮化合物代谢、细胞发育、脂质生物合成和脂肪细胞分化等相关;KEGG分析表明,差异表达基因主要与轴突导向、NF-κB信号通路、钙信号通路等相关。结合差异表达基因与泌乳性能的相关性分析,本研究筛选出了部分与脂质调控相关的基因作为研究奶牛MFD状态下脂质代谢的候选基因,包括在乳腺中下调表达的FGFR4、VDR、HTR2B、CCL21TYRP1
      结论 高淀粉高油饲粮饲喂奶牛降低了干物质采食量、产奶量和乳脂率,提高了乳蛋白、乳糖和非脂固形物含量,下调了奶牛乳腺中脂肪酸合成相关基因的表达。本研究为科学配制日粮和研究MFD的分子机制研究提供了数据参考。

       

      Abstract:
      Objective  The aim of this experiment was to study the effects of high starch and oil diet on milk performance and mammary gland transcriptome of dairy cows, and explore the molecular mechanism of milk fat depression (MFD).
      Method Eight lactation Holstein cows were randomly divided into two groups of the control group and treatment group, four cows in each group with a 2×2 crossover experiment. The test was divided into two periods, each period was 23 days, and two groups were switched in the second period. In the first 16 days of each period, the cows in the control group were fed low starch and oil diet, the net lactation energy of the control diet was 6.78 MJ/kg. For the cows in the treatment group, 266 g/kg fine ground corn and 46 g/kg soybean oil (dry matter basis) were added to the control diet. In the last seven days of each trial period, the cows of two groups were both fed with low starch and oil diet, the net lactation energy of the diet in the treatment group was 7.66 MJ/kg. Milk yield and milk composition were measured on the 1st, 4th, 7th, 10th, 13th, 16th, 19th and 22nd days of each period respectively, and mammary tissues were collected on the 16th day to detect changes in transcripts.
      Result Compared with the cows fed with low starch and oil diet, the dry matter intake and milk yield of cows fed high starch and oil diet decreased on the 13th and 16th days (P<0.05). After feeding high starch and oil diet for seven days, the milk fat percentage began to decrease, and the milk fat rate and milk fat yield decreased significantly on the 10th, 13th, 16th and 19th days (P<0.05). The contents of milk protein, lactose and non-fat solids increased significantly on the 13th, 16th and 19th days (P<0.05). A total of 235 differentially expressed genes (DEGs) were detected in the control and treatment groups, 64 of which were up-regulated and 171 were down regulated. GO analysis showed that the DEGs were mainly related to inflammatory reaction, α-amino acid metabolism, organic nitrogen compound metabolism, cell development, lipid biosynthesis and adipocyte differentiation. KEGG analysis showed that the DEGs were mainly related to axon guidance, NF-κB signaling pathway, calcium signaling pathway and so on. Combined with the correlation analysis between the DEGs and milk performance, this study screened some genes related to lipid regulation as candidate genes for studying lipid metabolism in dairy cows under MFD, including FGFR4, VDR, HTR2B, CCL21 and TYRP1 which were down regulated in mammary glands.
      Conclusion Feeding cows with high starch and oil diet can reduce dry matter intake, milk yield and milk fat rate, increase the contents of protein, lactose and non-fat solids, and down-regulate the expression of fatty acid synthesis related genes in mammary glands of dairy cows. The study can provide data references for scientific formulation of diets and investigation of the molecular mechanism of MFD in dairy cows.

       

    /

    返回文章
    返回