细菌3–酮脂酰ACP还原酶的研究现状与展望

    Research status and prospect on bacterial 3-oxoacyl-ACP-reductase

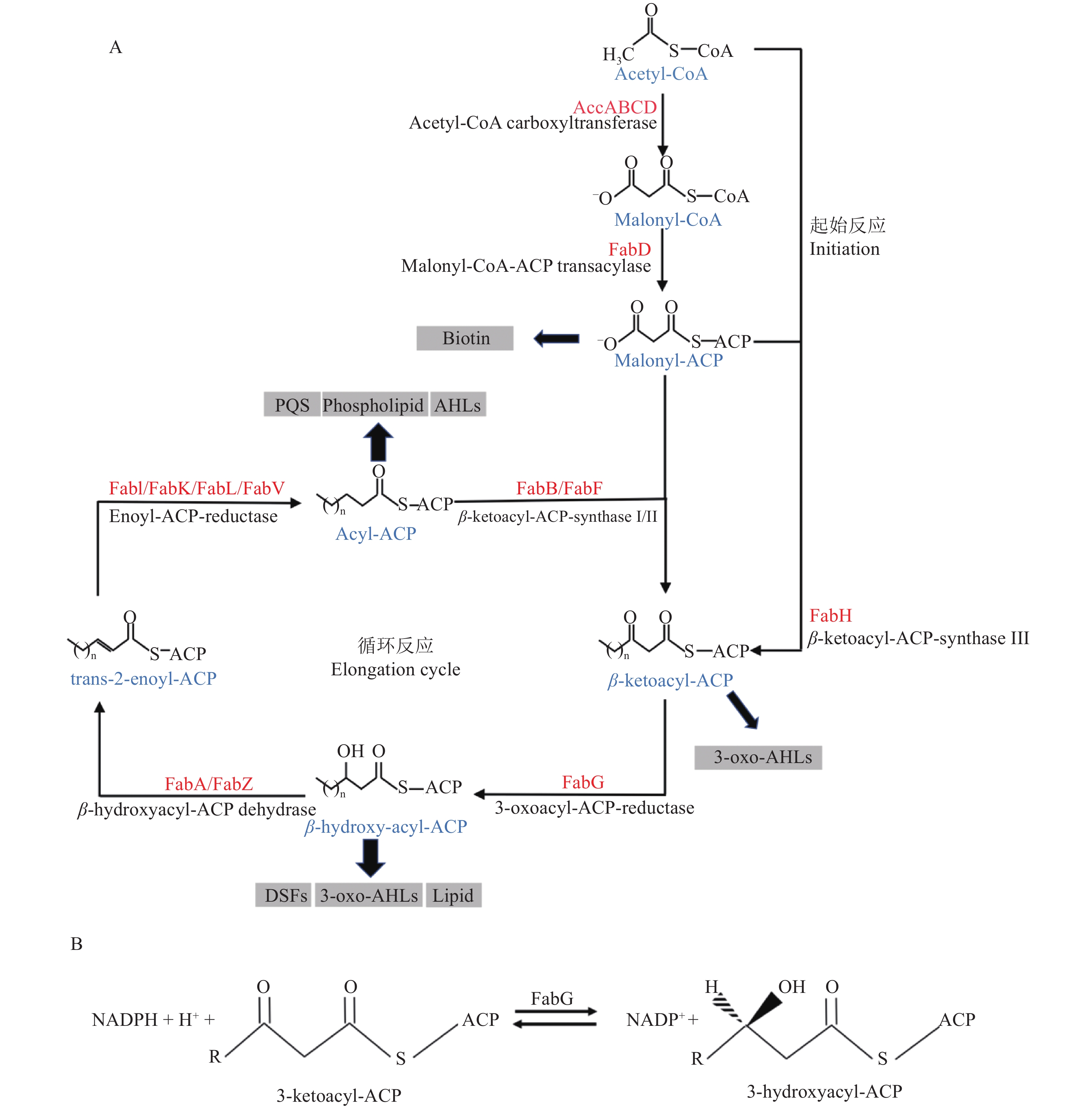
    • 摘要: 3–酮脂酰ACP还原酶属于短链醇脱氢酶/还原酶(SDR)超家族蛋白,参与细菌脂肪酸及相关物质合成,负责催化3–酮脂酰ACP还原为3–羟脂酰ACP。3–酮脂酰ACP还原酶在细菌中广泛存在,且氨基酸序列较为保守,然而其生物学功能却展现出多样性。本文对近年来细菌3–酮脂酰ACP还原酶的结构特性、生物学功能和抑制剂等方面的研究进展进行综述,为加深对3–酮脂酰ACP还原酶的理解和抗菌药物的开发提供有益的借鉴。

       

      Abstract: 3-oxoacyl-ACP-reductase, a member of short chain dehydrogenase/reductase(SDR) super family, participates in the biothsythesis of bacterial fatty acid and derivatives by catalyzing the reduction of 3-oxoacyl-ACP to 3-hydroxyacyl-ACP. 3-oxoacyl-ACP-reductase is ubiquitously exsit in bacterial and highly conversed in amino acid sequence, however, it has diverse biological functions. In this review, we summerize the advance of structures, biological functions and inhibitors of 3-oxoacyl-ACP-reductase in recent years. This paper will provide useful references for further understanding of 3-oxoacyl-ACP-reductase and antibacterial drug design.

       

    /

    返回文章
    返回