3款猪50K SNP芯片基因型填充至序列数据的效果评估

    Evaluation on genotype imputation performance of three porcine 50K SNP chips from chip data to sequencing data

    • 摘要:
      目的  利用猪50K SNP(Single nucleotide polymorphisms)芯片开展基因组育种已经得到了广泛的应用与认可。基因型填充可在不增加基因型检测成本的前提下大幅提高基因型数据量,有利于开展复杂性状的遗传解析与遗传评估。本研究旨在评估3款猪SNP芯片基因型填充至序列数据的填充效果。
      方法  选用3款芯片共同检测的48头杜洛克猪群体作为填充的目标群体,260头猪的全基因组测序数据作为参考群体,使用Beagle5.1软件进行基因型填充,对比3款不同猪SNP芯片纽勤50K、中芯一号50K和液相50K基因型填充至序列数据的填充效果。
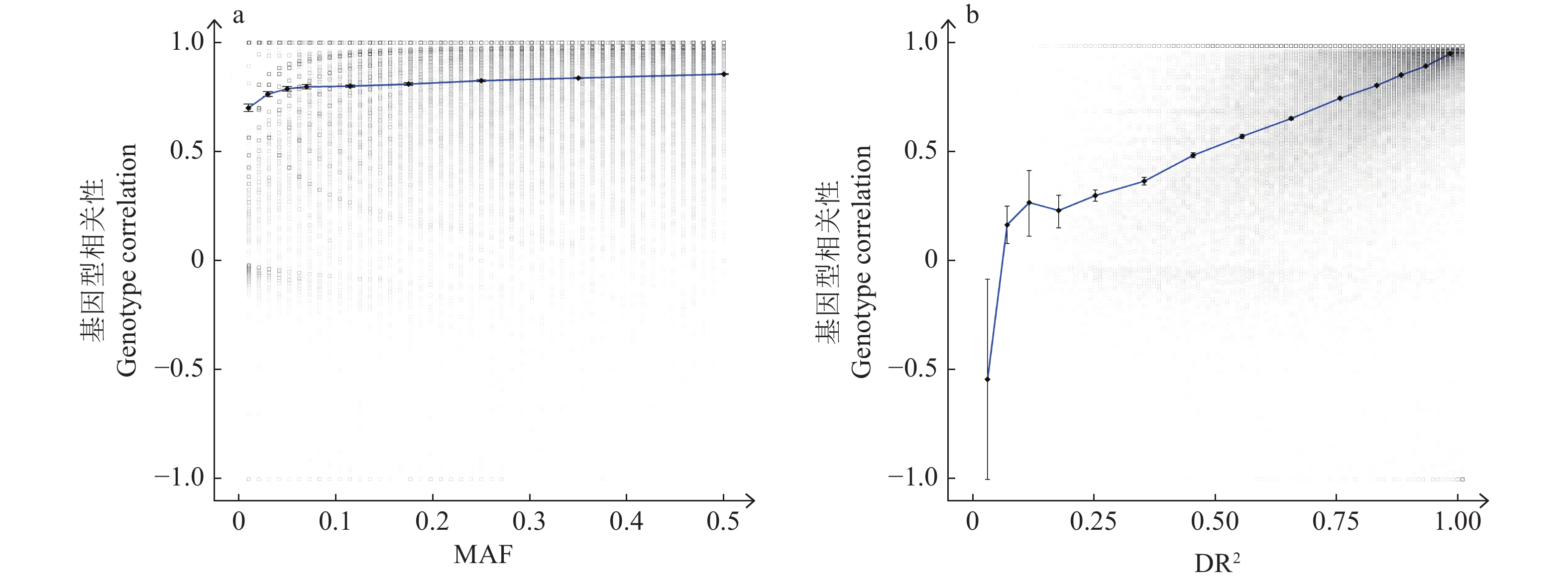
      结果  3款芯片原始的SNP数分别为50697、57466和50885个。填充至序列后,未质控时位点填充准确性(基因型一致性)分别为0.886、0.886和0.898,质控过滤DR2(Dosage R-squared)<0.95的位点后,填充准确性(基因型一致性)分别提升至0.974、0.976和0.969,位点数分别为3393066、3139095和3320627个。
      结论  不同芯片基因型填充至序列数据具有可行性,通过基因型填充可获得高质量的高密度基因型数据,可为后续的育种应用研究打下基础。

       

      Abstract:
      Objective  Porcine 50K SNP (single nucleotide polymorphisms) chips have been widely used in pig genomic breeding. Meanwhile, genotype imputation can significantly increase the amount of genotype data without increasing the cost of sequencing, which facilitates genetic resolution and genetic evaluation of complex traits. This study was aimed to evaluate the genotype imputation performance from genotype to sequence data of three porcine SNP chips.
      Method  A total of 48 Duroc pigs with three kinds of porcine SNP chips were used as target panel to evaluate the genotype imputation accuracy. A total of 260 pigs with whole genome sequencing data formed a reference panel for genotype imputation. The genotype imputation was performed using Beagle5.1 software to compare the imputation effect of Geneseek 50K, ZhongxinⅠ 50K and Liquid 50K.
      Result  The numbers of original SNPs in three kinds of chips were 50697, 57466 and 50885 respectively. The imputation accuracies (genotype consistencies) were 0.886, 0.886 and 0.898 respectively after imputation without any quality control. After filtering the imputed SNPs with low reliability DR2 (Dosage R-squared) <0.95, the imputation accuracies (genotype consistencies) of three kinds of chips were up to 0.974, 0.976 and 0.969 respectively, and the numbers of remaining SNPs were 3393066, 3139095 and 3320627 respectively.
      Conclusion  Genotype data from the three types of porcine SNP chips can be imputed to sequence data with a high imputation accuracy. This study provides useful reference for subsequent breeding application research.

       

    /

    返回文章
    返回