盐分和重金属胁迫下AM真菌对小果白刺生长的影响

    Effects of arbuscular mycorrhizal fungi on the growth of Nitraria sibirica under salinity and heavy metal stress

    • 摘要:
      目的  探究接种丛枝菌根(Arbuscular mycorrhizal,AM)真菌对不同程度盐分和重金属胁迫下小果白刺Nitraria sibirica Pall. 生长的影响,为重金属污染盐渍化土壤的植物−微生物联合修复提供科学依据和数据支持。
      方法  采用温室盆栽的方法,模拟不同程度重金属Cd污染(干土中含0、2、5 mg·kg−1 Cd)NaCl型(干土中含0、1.5 g·kg−1 Na+)盐渍化土壤(Cd0Na0、Cd0Na1.5、Cd2Na0、Cd2Na1.5、Cd5Na0、Ca5Na1.5),研究接种AM真菌Funneliformis mosseae对Cd和NaCl胁迫下小果白刺的菌根侵染、元素吸收、离子平衡、生物量、Na+和Cd含量与吸收的影响。
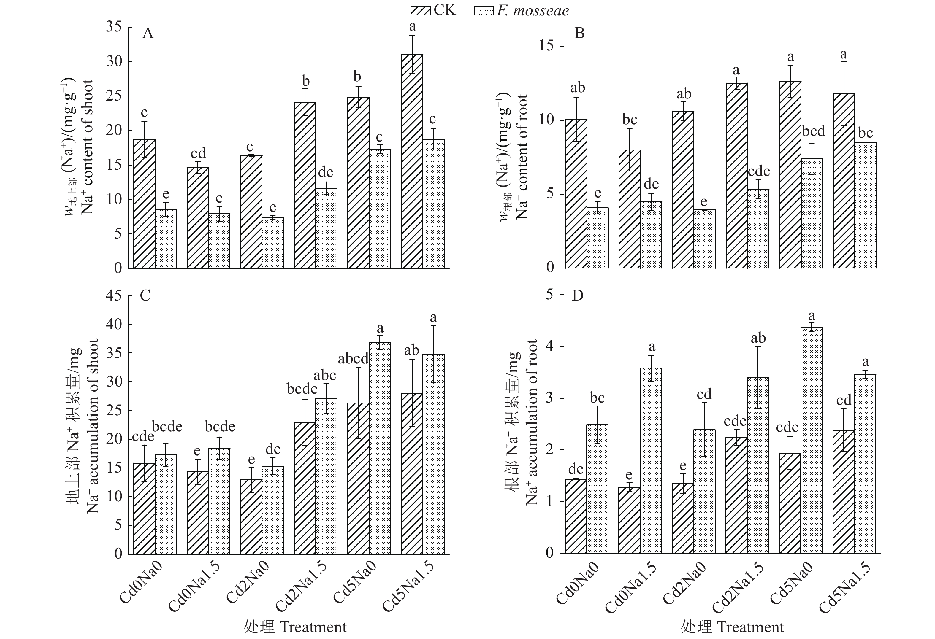
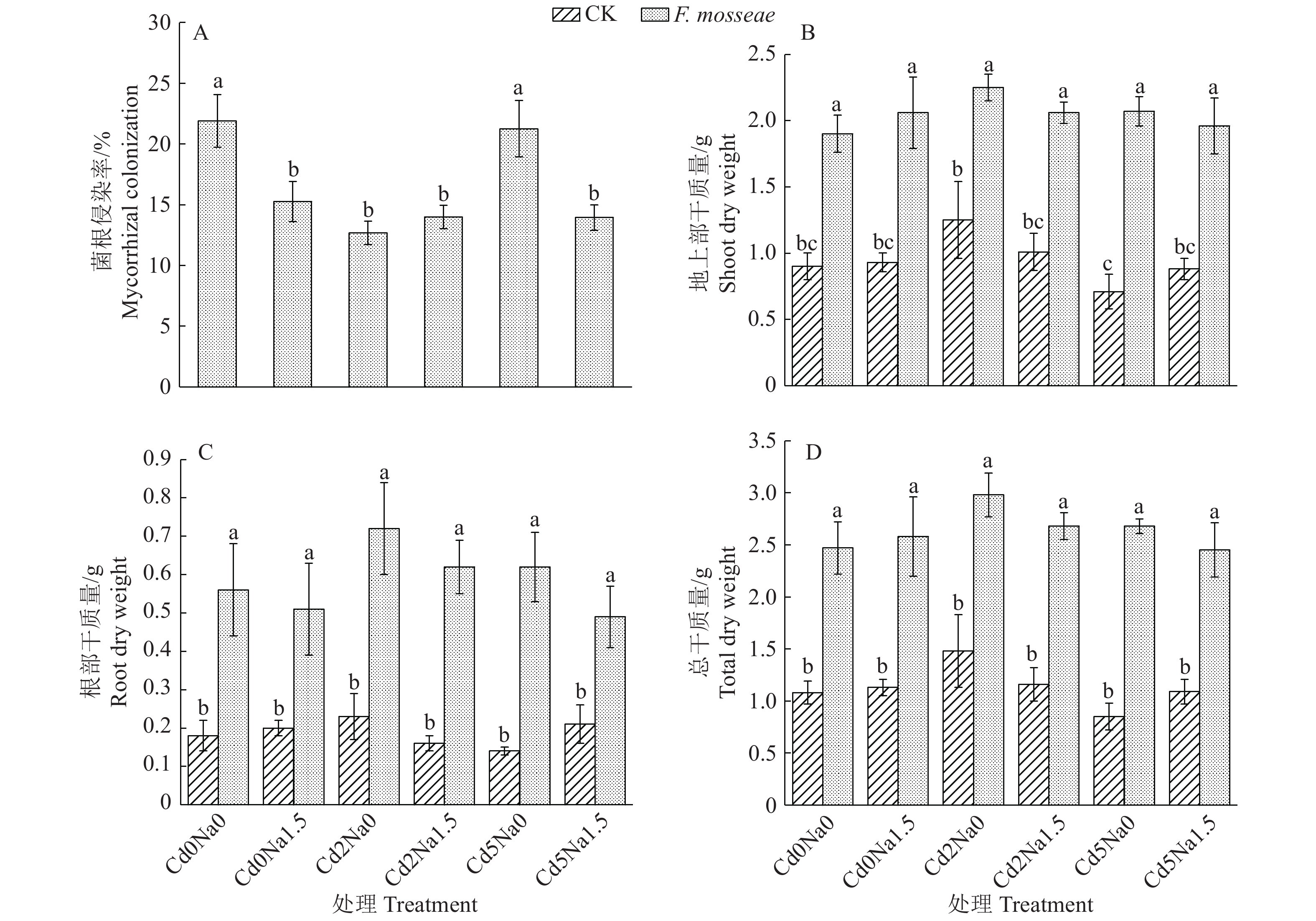
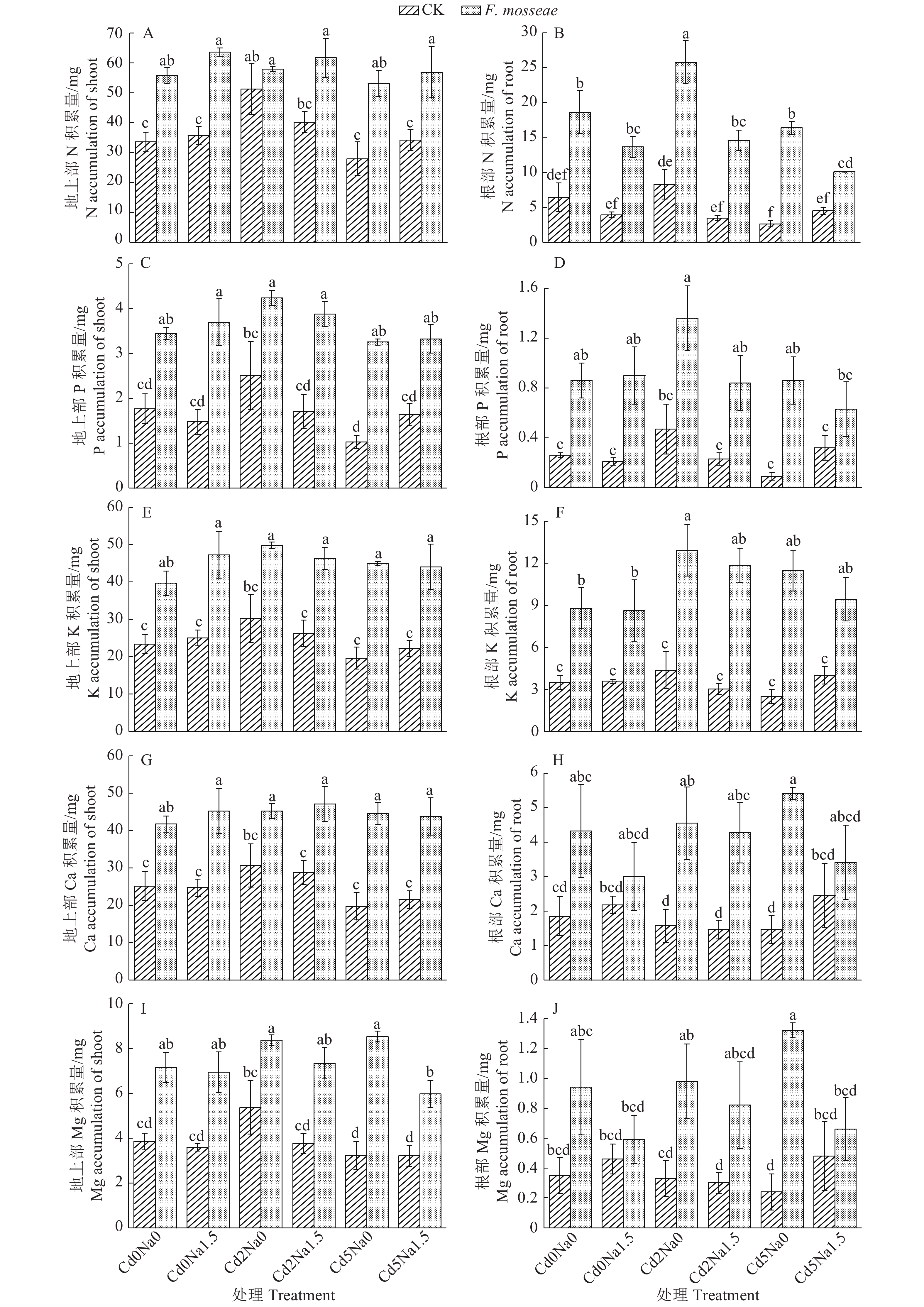
      结果  在重金属Cd和NaCl胁迫下,接种F. mosseae的植物根系平均菌根侵染率为12.68%~21.90%。与不接种CK相比,接种AM真菌使不同处理小果白刺总干质量增加101.35%~215.29%;地上部矿质营养元素增加47.55%~216.50%;地上部和根部Na+含量显著降低,根部Na+积累量显著增加;Cd2Na0、Cd2Na1.5、Cd5Na0和Cd5Na1.5处理的地上部Cd含量以及Cd2Na1.5、Cd5Na0和Cd5Na1.5处理的根部Cd含量显著降低;接种AM真菌调节了地上部和根部K+/Na+、Ca2+/Na+和P5+/Na+离子平衡。
      结论  AM真菌可通过促进营养元素吸收、调节植株体内离子平衡和影响Na+、Cd吸收,缓解盐分和重金属胁迫对小果白刺生长的不利影响。

       

      Abstract: :
      Objective  To explore the effects of arbuscular mycorrhizal (AM) fungal inoculation on the growth of Nitraria sibirica Pall. under different levels of salt and heavy metal stress, and provide a scientific basis and data support for plant-microbial joint remediation of heavy metal contaminated and salinized soil.
      Method  Greenhouse potted soil was used to simulate different levels of heavy metal Cd polluted (0, 2, 5 mg·kg−1 Cd in dry soil) and NaCl (0, 1.5 g·kg−1 Na+ in dry soil) salinized soil (Cd0Na0, Cd0Na1.5, Cd2Na0, Cd2Na1.5, Cd5Na0, Cd5Na1.5). The effects of AM fungi (Funneliformis mosseae) on mycorrhizal infection, element absorption, ion balance, biomass, Na+ and Cd contents of N. sibirica under Cd and NaCl stress were studied.
      Result  Under heavy metal Cd and NaCl stress, the mycorrhizal infection rate of F. mosseae roots was 12.68%−21.90%. Compared with CK with no inoculation, AM inoculation increased the total dry weight of N. sibirica in different treatments by 101.35%−215.29%. The aboveground mineral nutrient elements significantly increased by 47.55%−216.50%. Na+ contents in shoots and roots decreased significantly, while Na+ accumulation in root increased significantly. Cd contents in shoots treated with Cd2Na0, Cd2Na1.5, Cd5Na0 and Cd5Na1.5 and roots treated with Cd2Na1.5, Cd5Na0 and Cd5Na1.5 significantly decreased. At the same time, K+/Na+, Ca2+/Na+ and P5+/Na+ ionic equilibrium in shoots and roots were adjusted after AM inoculation.
      Conclusion  AM fungi can alleviate the adverse effects of NaCl and heavy metal stress on the growth of N. sibirica by promoting the absorptions of nutrient elements, regulating the ion balance in the plant and affecting the absorptions of Na+ and Cd.

       

    /

    返回文章
    返回