秸秆堆沤还田对坡耕地径流、泥沙与磷素流失的影响

    Effects of straw compost retting on runoff, sediment and phosphorus loss from sloping farmland

    • 摘要:
      目的  寻求不同堆沤方式和秸秆还田密度结合下较为有效的径流泥沙与磷素减排农艺措施。
      方法  在自然降水条件下,研究不同秸秆还田密度(0.75、1.5 kg·m−2)、不同秸秆粉碎粒度(1、5 cm)、加水或尿素堆沤对滇中二龙潭小流域烟草坡耕地产流产沙量及磷素流失量的影响。
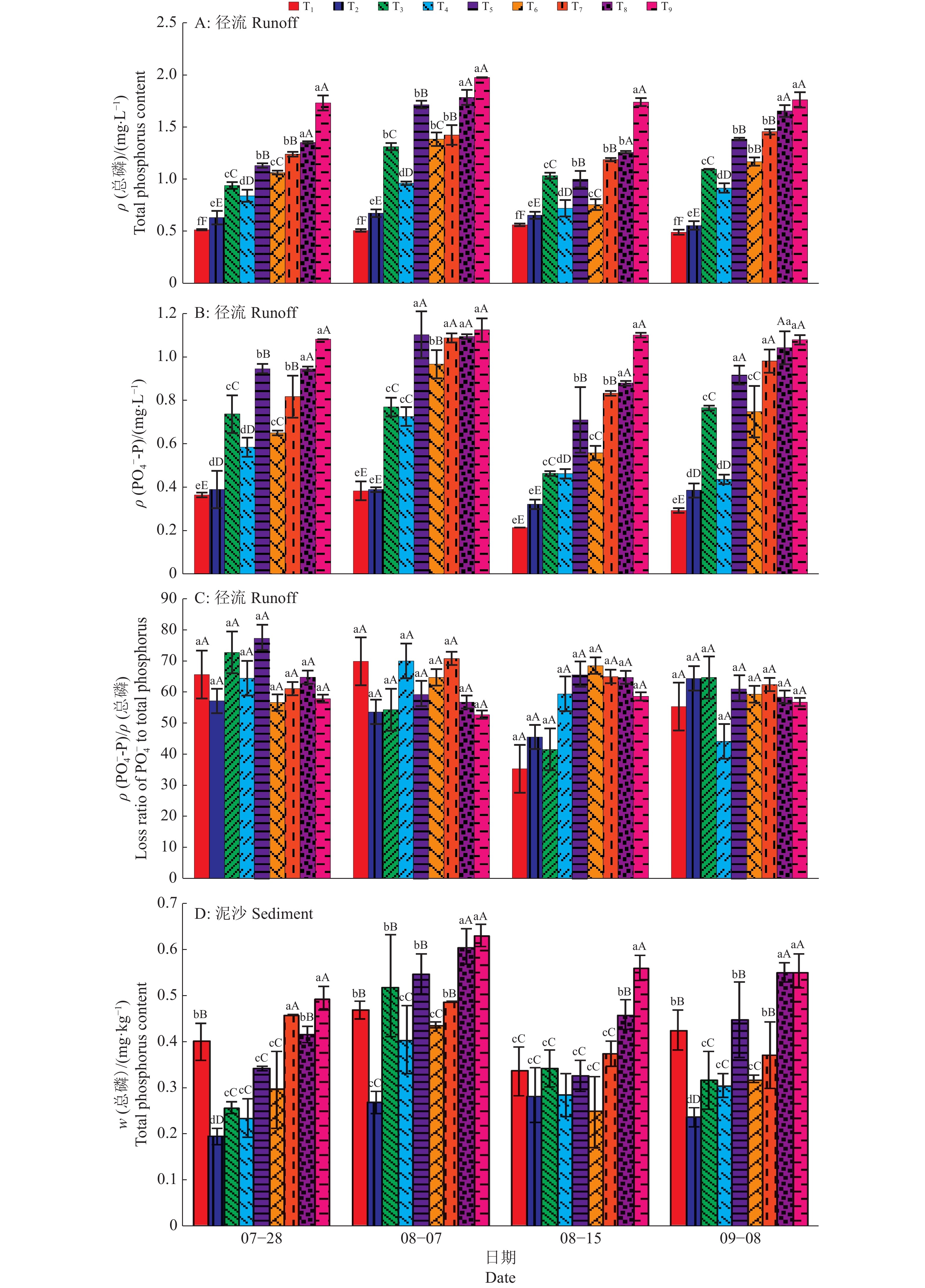
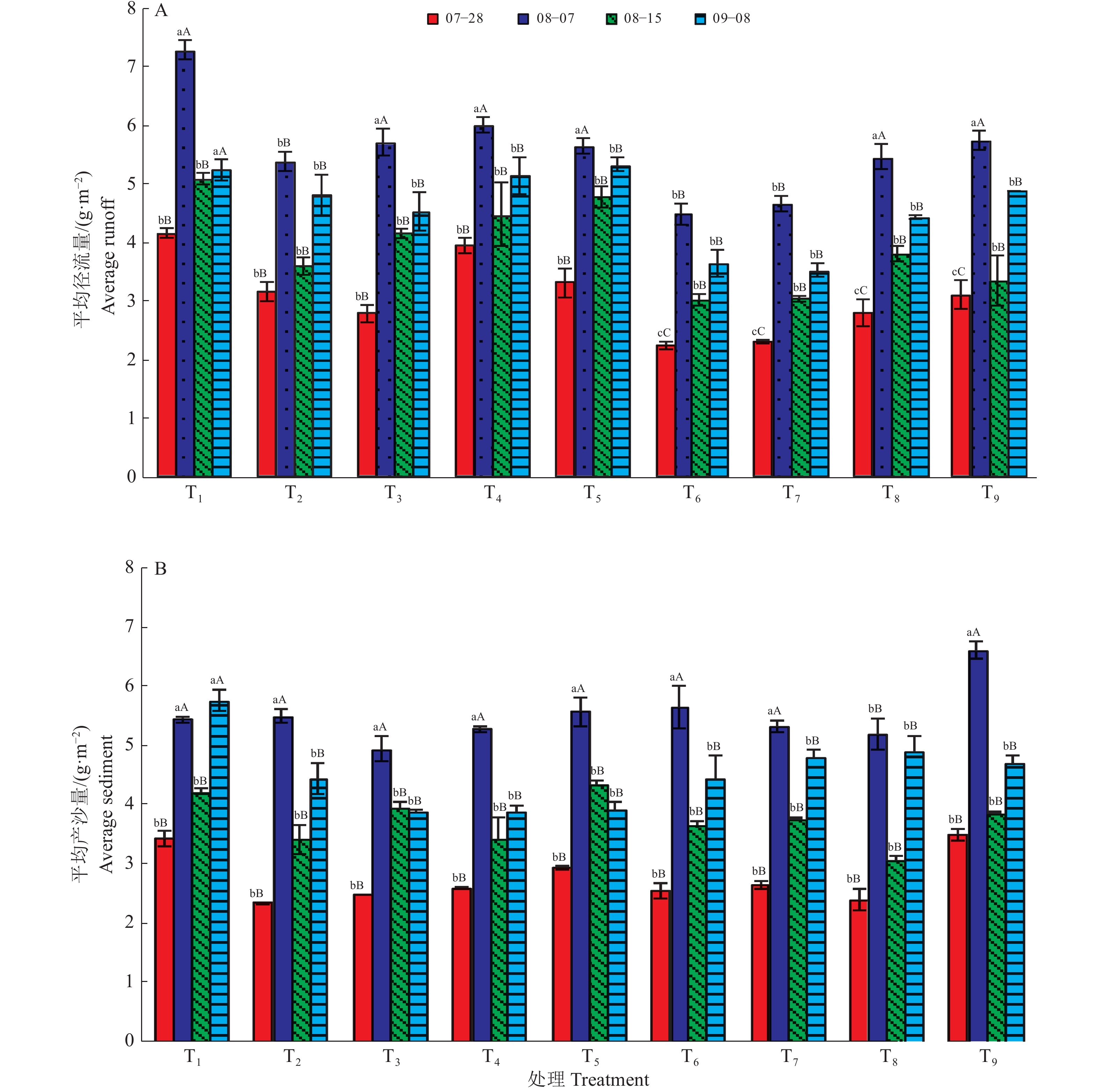
      结果  1.5 kg·m−2秸秆密度、5 cm秸秆粒度、加水堆沤均可有效降低烟草坡耕地产流产沙量,降低幅度分别为18.59%~38.60%、12.50%~38.60%、10.06%~38.60%;0.75 kg·m−2秸秆密度、5 cm秸秆粒度、加水堆沤较1.5 kg·m−2秸秆密度、1 cm秸秆粒度、加水与尿素堆沤的处理,径流泥沙总磷与径流PO4-P浓度分别降低2.82%~66.67%、0.38%~57.53%和1.97%~64.73%;径流中PO4-P占总磷浓度的35.30%~77.59%;0.75 kg·m−2秸秆密度、5 cm秸秆粒度及加水堆沤可有效减少坡耕地磷素流失风险,径流和泥沙总磷流失量分别最高降低63.64%和64.74%、63.89%和57.87%、63.89%和64.74%。
      结论  采用0.75 kg·m−2秸秆密度、5 cm秸秆粒度以及加水堆沤处理还田可控制滇中地区磷素流失,降低坡耕地径流泥沙及磷素流失风险。

       

      Abstract:
      Objective  To seek more effective agronomic measures to reduce runoff, sediment and phosphorus loss emissions under the combination of different stacking methods and straw returning densities.
      Method  Under the conditions of natural rainfall, different straw returning densities (0.75, 1.5 kg·m−2), different straw crushing particle sizes (1, 5 cm), adding water or urea were designed to study the effects on runoff and sediment amount, and phosphorus loss of slope farmland in the middle of Yunnan.
      Result  The straw density of 1.5 kg·m−2, straw particle size of 5 cm, and water retting could effectively reduce the runoff and sediment yield of tobacco slope farmland by 18.59%–38.60%, 12.50%–38.60%, 10.6%–38.60%. Compared with the treatments of 1.5 kg·m−2 straw density, 1 cm straw particle size, and water and urea retting, 0.75 kg·m−2 straw density, 5 cm straw particle size, and water-added could decrease runoff and sediment total phosphorus and runoff PO4-P concentration by 2.82%–66.67%, 0.38%–57.53% and 1.97%–64.73% respectively. The ratio of PO4-P in runoff was 35.30%–77.59% of the total phosphorus concentration. Straw density of 0.75 kg·m−2, straw particle size of 5 cm, and water retting could effectively reduce the risk of phosphorus loss in tobacco sloping farmland in Erlongtan small watershed. The total phosphorus loss in runoff and sediment respectively highestly reduced 63.64% and 64.74%, 63.89% and 57.87%, 63.89% and 64.74%.
      Conclusion  The use of 0.75 kg·m−2 straw density, 5 cm straw particle size and water retting treatment can control phosphorus loss in central Yunnan watershed and reduce the risk of runoff, sediment and phosphorus loss on slope farmland.

       

    /

    返回文章
    返回