空心莲子草−莲子草碳氮磷生态化学计量特征及对异质环境的响应

    Eco-stoichiometric characteristics of carbon, nitrogen and phosphorus in Alternanthera philoxeroides-A. sessilis and their responses to heterogeneous environments

    • 摘要:
      目的  探讨入侵植物空心莲子草Alternanthera philoxeroides与其共存本土同属种莲子草A.sessilis的元素化学计量比差异及环境驱动力,明晰其资源分配格局与营养策略。
      方法  在广西、广东、江西和河南等省(区)的野外生境中设置6个莲子草−空心莲子草共存群落样地和7个莲子草单生群落样地,分别测定这2种植物的w(C)、w(N)、w(P)及其化学计量比(C∶N、C∶P和N∶P),并记录样地环境指标,利用回归分析和典范对应分析探究空心莲子草、莲子草的营养策略差异及对异质生境的响应。
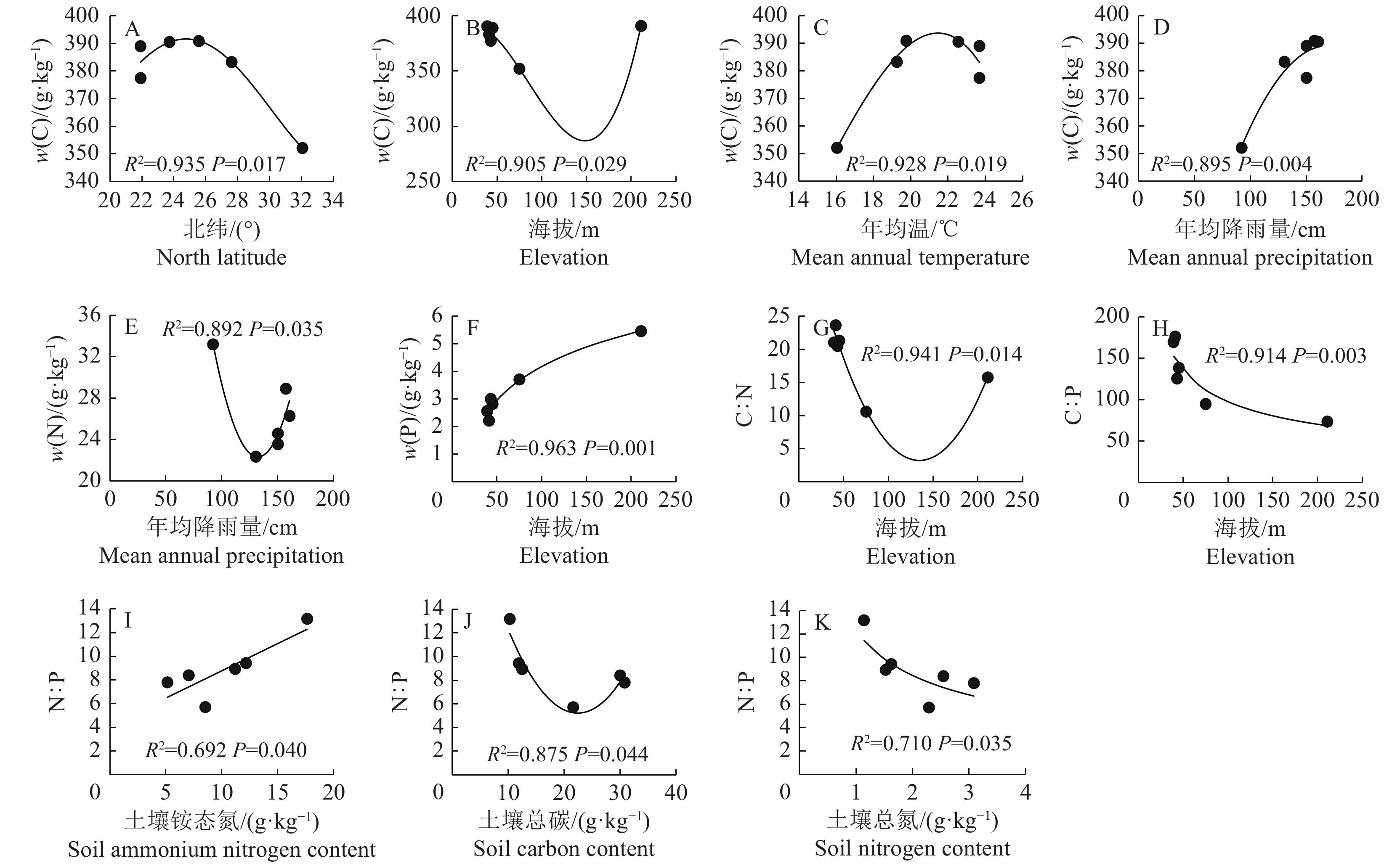
      结果  在莲子草−空心莲子草共存群落中,这2种植物的w(C)、w(N)、w(P)及其化学计量比均无显著性差异。w(C)均随气温上升呈“先上升后下降”趋势;空心莲子草w(N)随降雨量上升而下降,莲子草w(N)随降雨量上升呈“先下降后上升”趋势;莲子草w(P)随海拔上升而增加。C∶N均随海拔上升呈“先下降后上升”趋势,莲子草C∶P随海拔上升而下降、N∶P随土壤N上升而下降,空心莲子草C∶P和N∶P与环境因子之间均无显著性关系。在莲子草单生群落中,其w(C)随土壤w(NH4+-N)上升而降低、随降雨量上升而增加;其w(P)随海拔和土壤w(N)上升而降低;其C∶N随土壤w(NH4+-N)、w(NO3-N)上升而降低;其C∶P随土壤w(N)上升而增加。
      结论  莲子草的C、N、P生态化学计量特征对异质环境的响应程度高于空心莲子草,莲子草在高海拔区域选择以“生长竞争策略”应对空心莲子草入侵。研究可为预测外来种的入侵力及深入理解物种共存机制提供理论依据。

       

      Abstract:
      Objective  To explore the difference of stoichiometric ratios between the invasive plant Alternanthera philoxeroides and the native congeneric species A. sessilis as well as the environmental driving forces, and clarify their resource allocation pattern and nutrition strategy.
      Method  We totally set up six A.sessilis-A. philoxeroides coexistent plots and seven A. sessilis single plots in the wild habitats of Guangxi, Guangdong, Jiangxi and Henan Provinces. We measured w(C), w(N), w(P) and C∶N, C∶P, N∶P of these two species, and recorded the environmental indicators in each plot. We then used regression analysis and canonical correspondence analysis (CCA) to examine the difference of nutrition strategies between A. sessilis and A. philoxeroides and their responses to the heterogeneous habitats.
      Result  In the coexistent communities, there was no significant difference of w(C), w(N), w(P) and their stoichiometric ratios between these two plant species. The w(C) all showed the ‘first rising and then decreasing’ trend with the increase of temperature. The w(N) of A. philoxeroides decreased with the increased precipitation, while the w(N) of A. sessilis showed the ‘first decreasing and then rising’ trend with the increase of precipitation. The w(P) of A. sessilis increased with the increase of elevation. C∶N of these two plant species all showed the trend of ‘first descending and then rising’ with the elevation rising. C∶P of A. sessilis decreased with the increase of elevation, and N∶P decreased with the increase of soil w(N). The C∶P and N∶P of A. philoxeroides had no significant relationship with the environmental factors. In the A. sessilis single communities, the w(C) of A. sessilis decreased with the increase of soil w(NH4+-N), and increased with the increased precipitation; w(P) decreased with the increase of elevation and soil w(N); C∶N decreased with the increase of soil w(NH4+-N) and w(NO3-N), and C∶P increased with the increase of soil w(N).
      Conclusion  The eco-stoichiometric characteristics of C, N, P in A. sessilis are more responsive to the heterogeneous environments than those of A. philoxeroides. A. sessilis chooses the ‘growth competition strategy’ for resisting A. philoxeroides invasion in higher elevation regions. The finding provides a theoretical basis for predicting the invasiveness of alien species and understanding the species coexistence mechanism in depth.

       

    /

    返回文章
    返回