秸秆还田配施硫肥对春玉米产量及硫素积累、分配特性的影响

    Effects of straw returning combining with sulfur fertilizer on yield, sulfur accumulation and distribution in spring maize

    • 摘要:
      目的  研究秸秆还田配施硫肥对春玉米产量及硫素的积累、分配与转运的影响,为探明硫在春玉米中的积累转运规律及合理施用硫肥提供理论依据。
      方法  试验采用双因素裂区设计,主区包括秸秆还田和秸秆不还田2个水平,副区包括配施硫肥和不配施硫肥2个水平,共有CK(不施任何肥料)、秸秆不还田不施硫、秸秆不还田施硫、秸秆还田不施硫和秸秆还田施硫5个处理。通过田间试验,探讨秸秆还田配施硫肥对春玉米各器官中硫素的积累、分配与转运的影响。
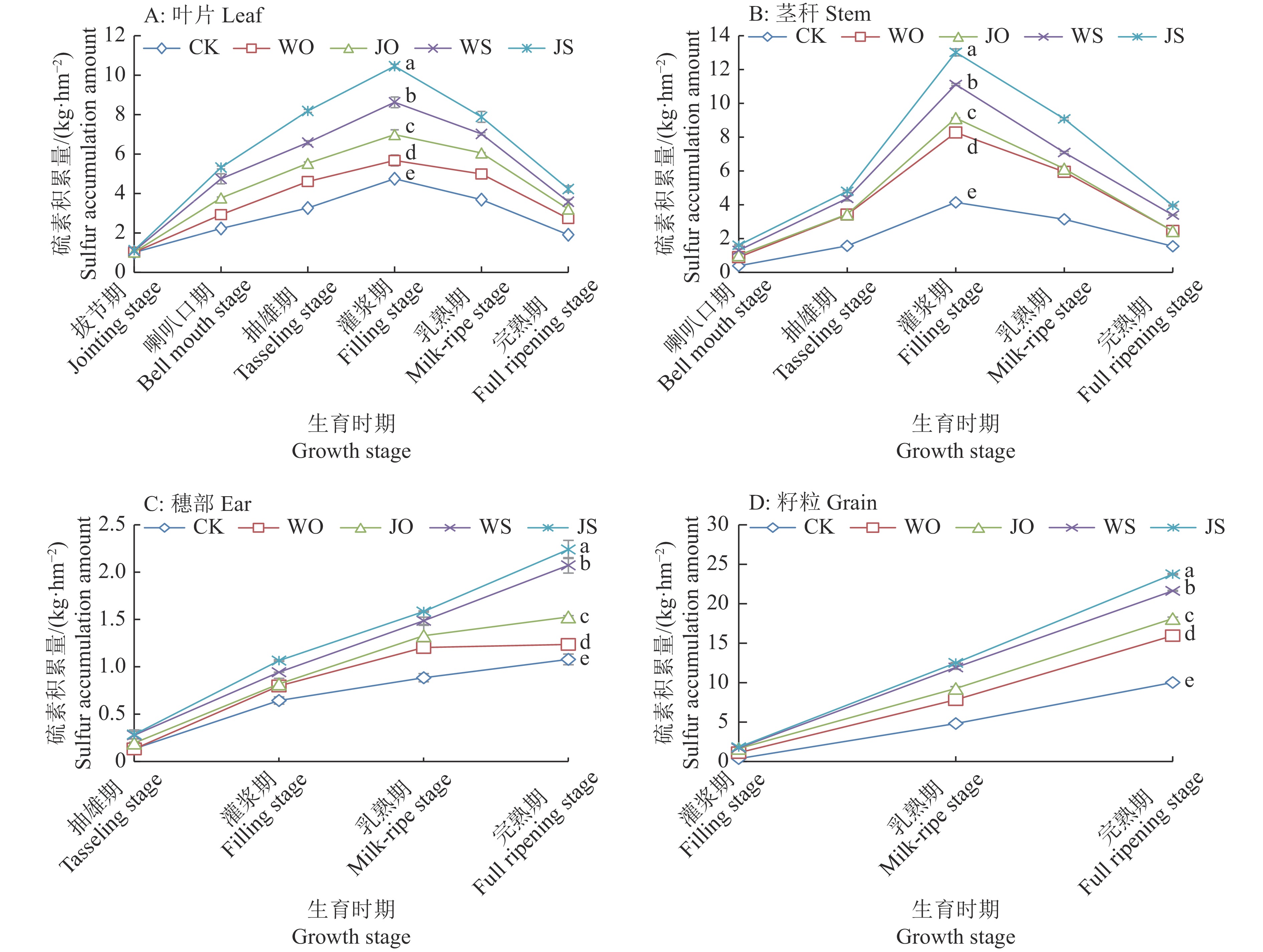
      结果  秸秆还田配施硫肥对春玉米有一定的增产作用,秸秆还田施硫的玉米产量比秸秆还田不施硫提高11.98%,比秸秆不还田不施硫提高20.34%。秸秆还田配施硫肥可显著提高春玉米植株硫素的积累量,秸秆还田施硫的硫素积累量比秸秆不还田施硫提高13.37%,比秸秆不还田不施硫提高52.67%。施硫可以提高玉米植株各器官中的硫素积累量,施用硫肥的硫素积累量比不施硫肥平均提高36.07%,各器官硫素积累量整体表现为籽粒>叶片>茎秆>穗部营养体。秸秆还田施硫的硫素总转运量最高,达到15.29 kg·hm−2,比秸秆不还田不施硫提高74.54%,硫素转运量对籽粒总贡献率提高17.27%。
      结论  秸秆还田配施硫肥可以促进春玉米的硫素积累以及玉米植株营养器官中硫素向籽粒的转运,并最终提高春玉米产量。

       

      Abstract:
      Objective  To explore the effects of straw returning combining with sulfur fertilizer on the yield and sulfur accumulation, distribution and transportation of spring maize, and provide theoretical bases for exploring the accumulation and transportation laws of sulfur fertilizer in spring maize as well as rational application of sulfur fertilizer.
      Method  Two-factor split block design was used, the main plot was divided into straw returning and no straw returning, the subplot was divided into sulfur fertilizer application and no sulfur fertilizer, which formed five treatments of CK (no fertilizer), no straw returning and no sulfur fertilizer, no straw returning and sulfur fertilizer, straw returning and no sulfur fertilizer, straw returning and sulfur fertilizer. The effects of straw returning combining with sulfur fertilizer application on the accumulation, distribution and transportation of sulfur in spring maize were studied through the field experiment.
      Result  Straw returning combining with sulfur fertilizer had a certain degree of increasing the yield. The maize yield of straw returning and sulfur fertilizer was 11.98% higher than that of straw returning and no sulfur fertilizer, and 20.34% higher than that of no straw returning and no sulfur fertilizer. Straw returning combining with sulfur fertilizer could significantly increase the accumulation of sulfur in spring maize. The sulfur accumulation amount of straw returning and sulfur fertilizer was 13.37% higher than that of no straw returning and sulfur fertilizer, and 52.67% higher than that of no straw returning and no sulfur fertilizer. Sulfur fertilizer application could increase the accumulation of sulfur in plant organs. The sulfur accumulation amount of sulfur fertilizer application treatment was averagely 36.07% higher than that of no sulfur fertilizer application treatment. The sulfur accumulation amount in each organ generally behaved as grain > leaf > stem > ear. Compared with the treatment of no straw returning and no sulfur fertilizer, total sulfur transport amount of straw returning and sulfur fertilizer treatment increased by 74.54%, reaching the highest of 15.29 kg·hm −2, and total contribution rate of sulfur transport amount to grain increased by 17.27%.
      Conclusion  Straw returning combining with sulfur fertilizer can promote the accumulation of sulfur in spring maize and the transportation of sulfur from vegetative organs to grains, and ultimately improve the yield of spring maize.

       

    /

    返回文章
    返回