南岭山区杉木大径材成材影响因子研究

    Study on impact factors of large-diameter wood formation of Cunninghamia lanceolatain Nanling Mountains

    • 摘要:
      目的  挖掘南岭山区杉木Cunninghamia lanceolata大径材形成的主导生态环境因子和林分控制因子,并探究其影响规律,以期为广东省杉木大径材培育和经营提供理论指导。
      方法  通过对南岭山区现存杉木大径材林分调查研究,提取并形成立地指数(SI)、土壤综合肥力指数(I)、微地形指数(M)、地理指数(G)等的指数评价体系,解析大径材蓄积量(Vl)、大径材出材量(Ol)、大径材株数比例(ND≥26)、大径材出材率(Yl)等与各个指数的相关关系。
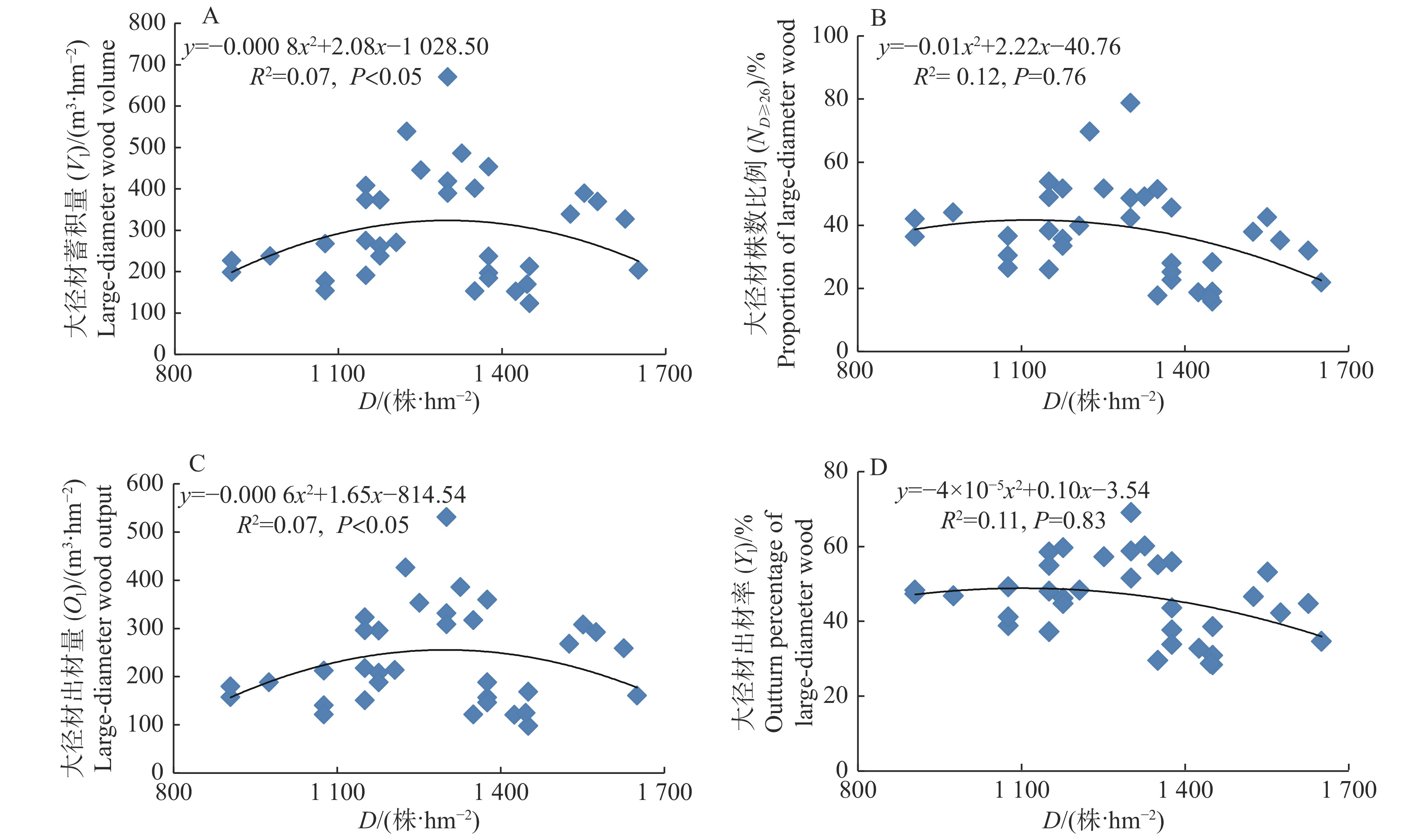
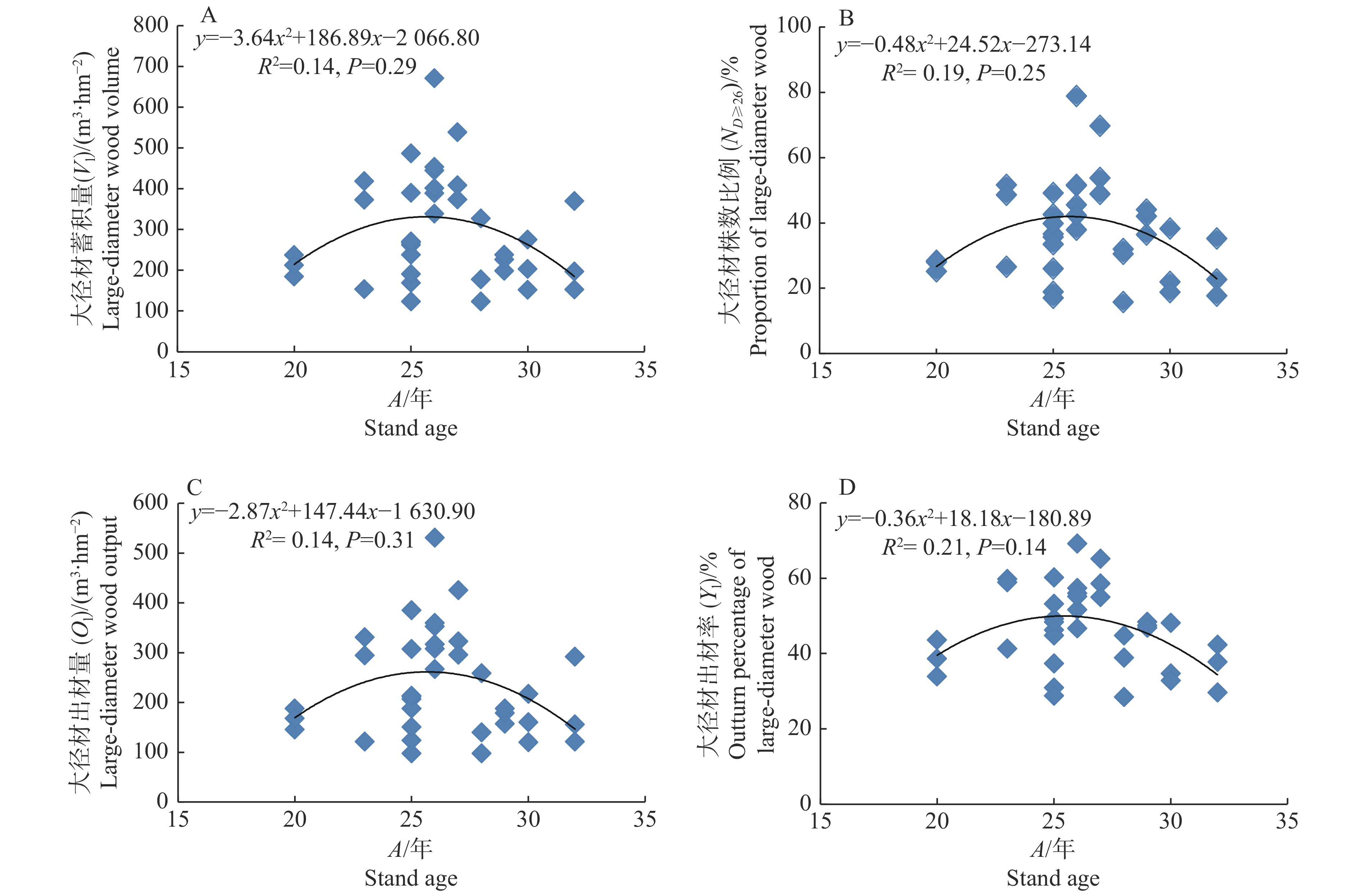
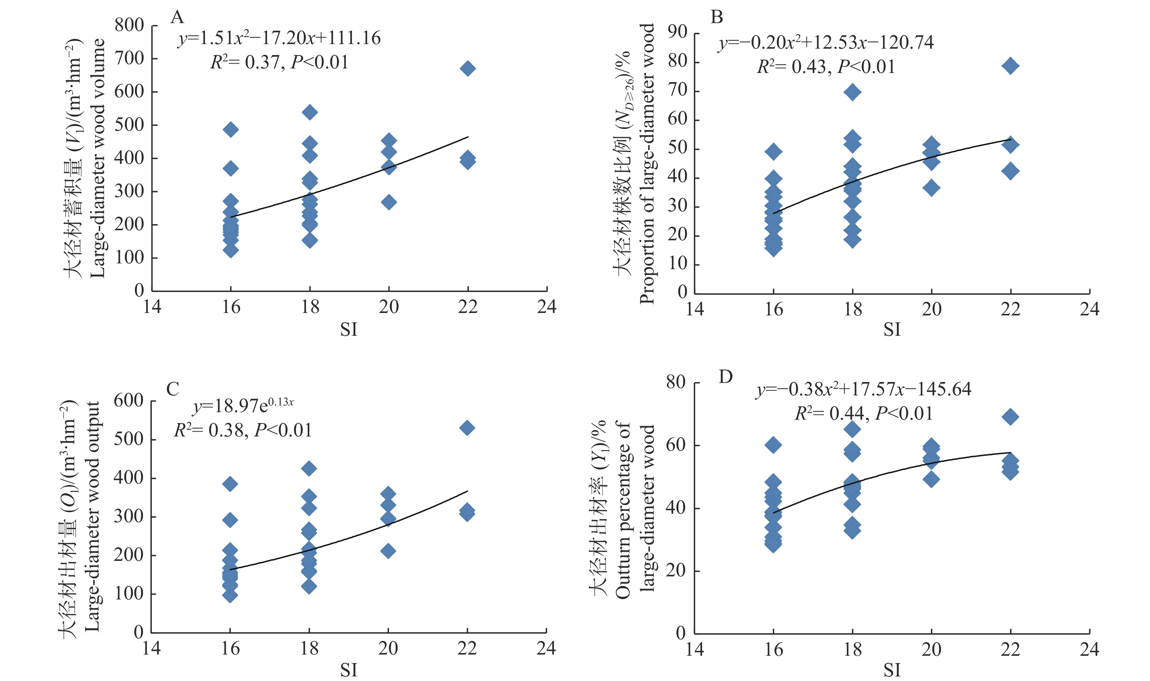
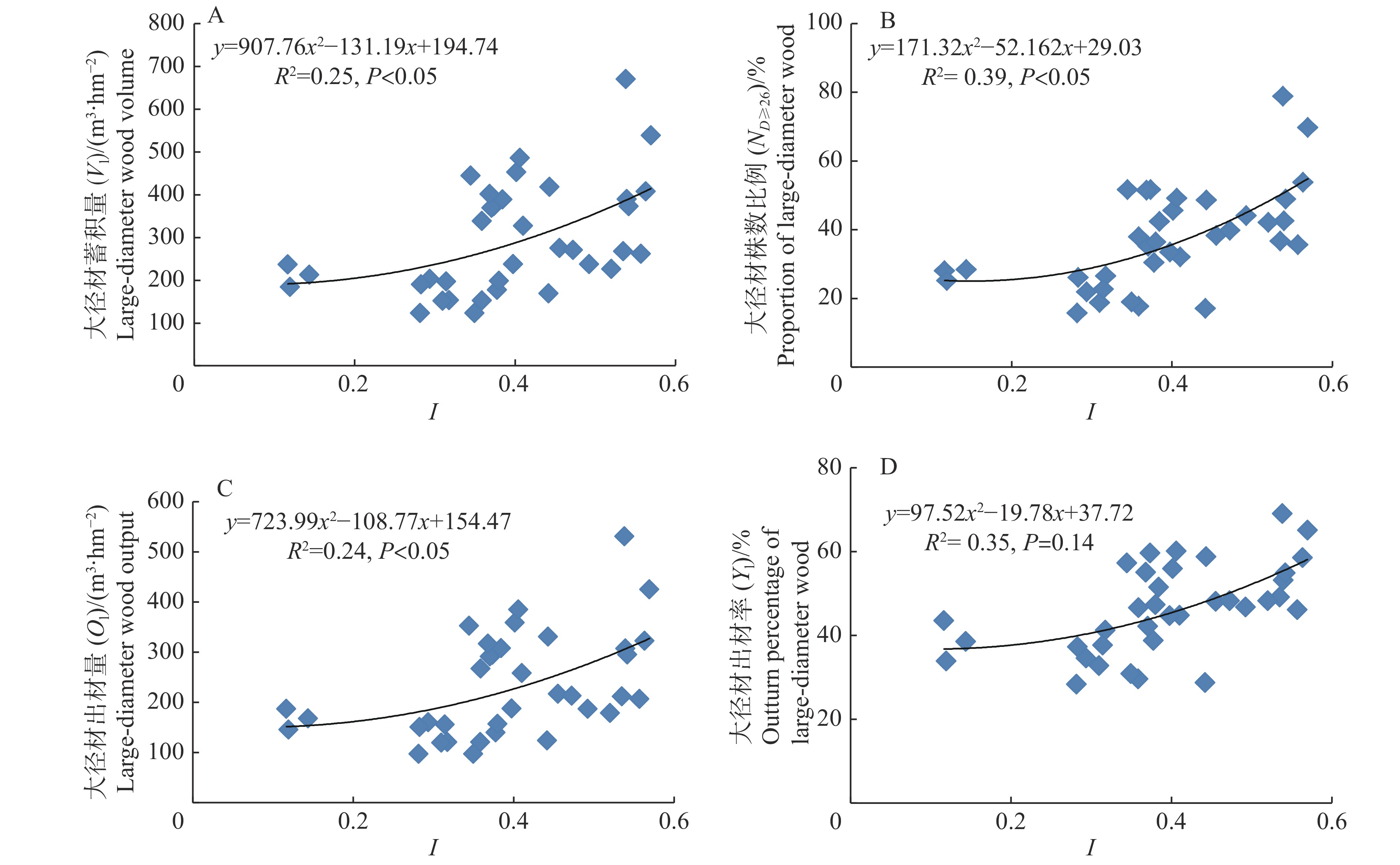
      结果  大径材成材各指标与SI及M呈极显著正相关(P<0.01),相关系数分别为0.37~0.44和0.22~0.33;VlOlND≥26等指标与I呈显著正相关(P<0.05),相关系数为0.24~0.39;VlOl均随保留密度(D)的增加呈先缓慢上升后缓慢下降的平缓二次项曲线趋势,相关性达显著水平(P<0.05);G及林龄(A)与大径材成材各指标相关性均不显著。构建了20~30年生杉木大径材出材量预测模型:Ol= \rme^\rm5\rm.781 + 0\rm.004\;\rmSI + 5\rm.004A^\rm - 1\rm + 0\rm.261\ln D\rm - 45\rm.151S\rmI^\rm - 1 (R=0.62,P<0.01),可利用该模型初步预测评估南岭山区20~30 年生杉木林分的大径材出材量。
      结论  SI、IMD是南岭山区杉木大径材形成的主导影响因子,当SI为18以上,土壤要求孔隙度、持水量、有机质含量较高,微地形条件为阴坡向、坡度低于35°的中下部凹坡,保留密度控制在1100~1300株·hm−2时,更有利于杉木大径材的培育。

       

      Abstract:
      Objective  To explore the dominant ecological environment factors and stand control factors for the formation of large-diameter wood of Cunninghamia lanceolata in Nanling Mountains, investigate their influence rule and provide a theoretical guidance for cultivation and management of large-diameter wood stands of C. lanceolata in Guangdong Province.
      Method  Based on the investigation of the existing large-diameter wood stands of C. lanceolata in Nanling Mountains, the site index (SI), soil integrated fertility index (I), micro-topography index (M) and geographical index (G) were extracted and the index evaluation system was established. The relationships of large-diameter wood volume (Vl), output (Ol), proportion (ND≥26), outturn percentage (Yl) with each index were analyzed.
      Result  There were significant positive correlations of each index of large-diameter wood with SI, M (P<0.01), the correlation coefficients were 0.37−0.44 and 0.22−0.33 respectively.VlOl and ND≥26 had significant positive correlations with I(P<0.05), the correlation coefficients were 0.24−0.39.Vl and Ol showed a gentle quadratic curve trend of slowly increasing first and then slowly decreasing with the increase of reserved density (D), the correlations were significant (P<0.05). There were no significant correlations ofG, stand age (A) with each index of large-diameter wood. The large-diameter wood output at the age of 20−30 was predicted by a quantitative model: Ol= \rme^\rm5\rm.781 + 0\rm.004\;\rmSI + 5\rm.004A^\rm - 1\rm + 0\rm.261\ln D\rm - 45\rm.151S\rmI^\rm - 1 (R=0.62, P<0.01).
      Conclusion  SI, I, M and D are the dominant impact factors for growth of large-diameter wood in Nanling Mountains. It is benefitial for large-diameter wood formation when SI is above 18, the soil has higher porosity, moisture and nutrient contents, the micro-topography condition is a shady and concave slope below 35° in the lower part, and the reserved density is 1 100−1 300 plants·hm−2.

       

    /

    返回文章
    返回