氨水低温冻融联合预处理对高粱秸秆酶解产糖的影响

    Effect of pretreatment using ammonia water combined with freezing and thawing on enzymatic hydrolysis and sugar production of sorghum straw

    • 摘要:
      目的  降低预处理成本、提高秸秆预处理后的酶解效果,模拟自然界低温环境并结合氨水对高粱秸秆进行预处理。
      方法  通过单因素试验分别探究氨水低温冻融预处理中浸泡液的液固质量比、冷冻温度、冷冻时长、氨水质量分数对高粱秸秆酶解的影响,采用正交试验对预处理条件进行优化,对预处理前后高粱秸秆的成分采用范式法测定,物理化学结构用红外光谱和X射线衍射分析。
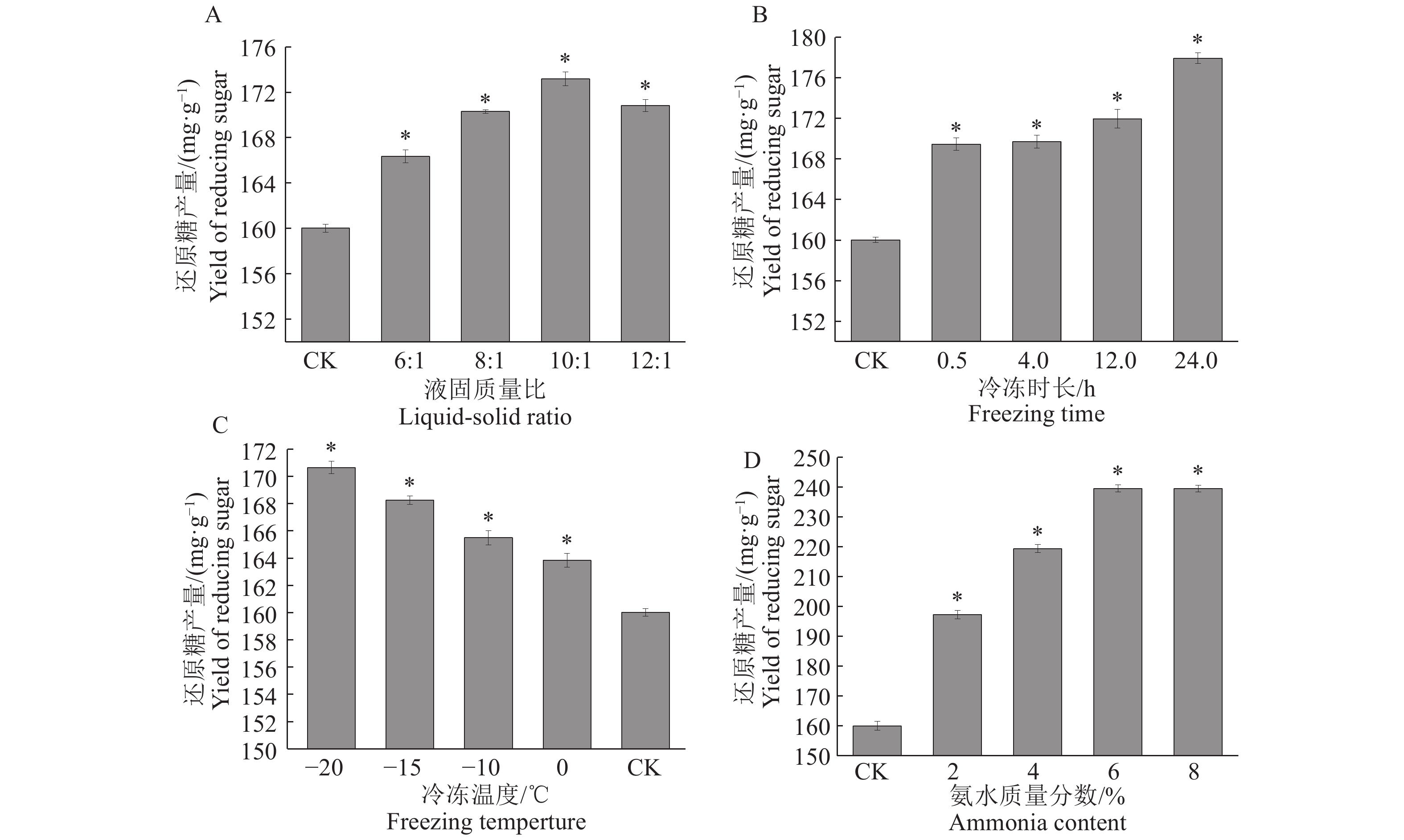
      结果  单因素试验中,浸泡液的液固质量比、冷冻温度、冷冻时长和氨水质量分数在不同水平下均显著提高了高粱秸秆酶解还原糖的产量(P<0.05)。正交试验最优预处理条件为浸泡液的液固质量比12,冷冻时长12 h,冷冻温度−10 ℃,氨水质量分数8%。相较于未进行预处理的秸秆,氨水低温冻融处理的秸秆半纤维素含量下降42.42%;木质素含量下降50.76%;秸秆的还原糖产量为302.87 mg·g−1,较未预处理组提高了80.34%;纤维素结晶度提高 了57.02%。
      结论  氨水低温冻融预处理能有效破坏高粱秸秆木质纤维素间原有的连接结构,溶解半纤维素,木质素的单体和聚合结构被破坏,提高了高粱秸秆的酶解还原糖得率以及纤维素结晶度。

       

      Abstract:
      Objective  To reduce the cost of pretreatment and improve the enzymatic hydrolysis effect afterstraw pretreatment, sorghum straw was pretreated with simulated natural low temperature environment andammonia water.
      Method  We studied the effects of the liquid-solid ratio in soaking solution, freezingtemperature, freezing time and ammonia content in pretreatment using ammonia water combined withfreezing and thawing on enzymatic hydrolysis of sorghum straw through single factor tests. We optimized the pretreatment conditions using orthogonal test design. The compositions of sorghum straw before and after pretreatment were measured using normal form method, and the physical and chemical structures were investigated using infrared spectrum and X-ray diffraction analyses.
      Result  In single factor tests, liquid-solid ratio in soaking solution, freezing temperature, freezing time and ammonia content at different levels all significantly increased the production of reducing sugar through enzymatic digestion(P<0.05). The optimum pretreatment conditions of the orthogonal test were 12 liquid-solid ratio in soaking solution, 12 h freezing time, 10 ℃ freezing temperature, and ammonia content of 8%. Compared with straw without pretreatment, in straw with pretreatment using ammonia water combined with freezing and thawing, the hemicellulose content decreased by 42.42% , the lignin content decreased by 50.76%, the yield of reducing sugar for straw was 302.87 mg·g−1, which was 80.34% higher than that of straw without pretreatment, and the crystallinity of cellulose increased by 57.02%.
      Conclusion  The pretreatment using ammonia water combined with freezing and thawing can effectively destroy the original connection structure between lignocellulose of sorghum straw, dissolve hemicellulose, destroy the monomer and polymeric structure of lignin. It improves the yield of reducing sugar by enzymatic hydrolysis of sorghum straw, and also improves the crystallinity of sorghum straw cellulose.

       

    /

    返回文章
    返回