施N、P肥对西南桦无性系幼苗生长及叶片N、P含量的影响

    Effects of N and P fertilization on growth and leaf N and P contents of Betula alnoides clone seedlings

    • 摘要:
      目的  研究施氮、磷肥对西南桦Betula alnoides无性系生长和叶片养分含量的影响,筛选适宜的施肥配方。
      方法  以4个西南桦优良无性系组培苗(A5、FB4、FB4+、BY-1)为研究对象,试验按完全随机区组设计,通过设置每株施N(0、200、400 mg)和施P(0、70、140 mg)共9个组合处理,研究施肥处理间及无性系间幼苗的苗高、地径、生物量、根冠比、分枝数、叶面积和叶片养分含量等差异。
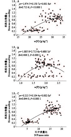
      结果  不同施肥处理幼苗的苗高、地径、生物量、分枝数、根冠比和叶面积差异均极显著,且施肥处理和无性系的交互作用对苗高、地径、根冠比和分枝数影响达极显著水平。各无性系均为处理5的幼苗生长表现最优,其苗高、地径、生物量、分枝数和叶面积比其他施肥处理分别提高了2.10%~74.13%、6.67%~91.45%、12.24%~358.33%、2.76%~712.64%和2.46%~456.31%。施肥处理对西南桦无性系幼苗叶片的N、P养分含量的影响均达到极显著水平,而无性系之间及无性系和施肥处理的交互作用对叶片养分含量的影响差异不显著。叶片的N、P含量随着氮磷肥的添加而增加,添加氮磷肥能够显著提髙叶片中该种养分的含量。叶片N、P含量及其比值与生物量均符合抛物线关系,且呈显著的正相关关系(P<0.000 1),处理5的叶片N/P质量比约为15,这可能是影响西南桦生长的N/P限制比例。
      结论  施肥显著促进了西南桦无性系幼苗的生长并提高了叶片养分含量,但无性系之间差异不显著。综合幼苗的生长和叶片养分含量指标,处理5(每株施N 200 mg和施P 70 mg)条件下西南桦无性系生长表现最优。

       

      Abstract:
      Objective  To reveal the effects of nitrogen and phosphorus additions on growth and leaf nutrient content of Betula alnoides clone seedlings, and select the optimal fertilization formula.
      Method  Four B. alnoides clones (A5, FB4, FB4+, BY-1) were chosen as the materials and a completely randomized experimental design with nine treatments including three N levels (0, 200 and 400 mg per seedling) and three P levels (0, 70 and 140 mg per seedling) was conducted to compare the differences in seedling height, root collar diameter, biomass, ratio of root to shoot, branch number, leaf area and leaf nutrient content of B. alnoides clones in different fertilization treatments.
      Result  Seedling height, root collar diameter, biomass, branch number, ratio of root to shoot and leaf area were significantly affected by fertilization treatment, and the effects of clone-fertilization treatment interaction were significantly different in seedling height, root collar diameter, ratio of root to shoot and branch number. Regardless of the clone, the treatment five had superior seedling height, root collar diameter, biomass, branch number and leaf area, being 2.10%−74.13%, 6.67%−91.45%, 12.24%−358.33%, 2.76%−712.64%, 2.46%−456.31% higher than those of other fertilization treatments, respectively. Leaf N and P contents of different fertilization treatments were significantly different, however there was no significant difference in clones and the interaction between clone and fertilization treatments. The contents of N and P in leaves increased with the additions of nitrogen and phosphorus fertilizers, and additions of nitrogen and phosphorus fertilizers could significantly increase the accumulation of these nutrients in leaves. Seedling biomass, leaf N content, leaf P content and N/P mass ratio were in a parabolic relationship, and they showed a significant positive correlation (P<0.000 1). N/P mass ratio of 15 might be the limiting ratio affecting the growth ofB. alnoides.
      Conclusion  Fertilization significantly promotes the growth and improves leaf nutrient contents of B. alnoides seedlings, but there is no significant difference among clones. Based on the seedling growth and leaf nutrient content indexes, treatment five (200 mg N and 70 mg P per seedling) exhibits the optimal growth performance for B. alnoides clones.

       

    /

    返回文章
    返回