4种噬菌体对寄主青枯菌的敏感性及作用受体分析

    Sensitivity of four phages to host bacterium Ralstonia solanacearum and analysis of their receptors

    • 摘要:
      目的  明确不同噬菌体混合对茄劳尔氏菌(青枯菌)Ralstonia solanacearum裂解能力和对噬菌体抗性产生的影响,了解4种噬菌体的作用受体。
      方法  将4种噬菌体P1556-1、P1556-2、P7-1和P1521两两混合后,比较其在青枯菌平板上产生的噬菌斑大小;噬菌体与青枯菌混合培养测定青枯菌对噬菌体的抗性;通过噬菌体与脂多糖和膜蛋白的吸附试验测定噬菌体的作用受体。
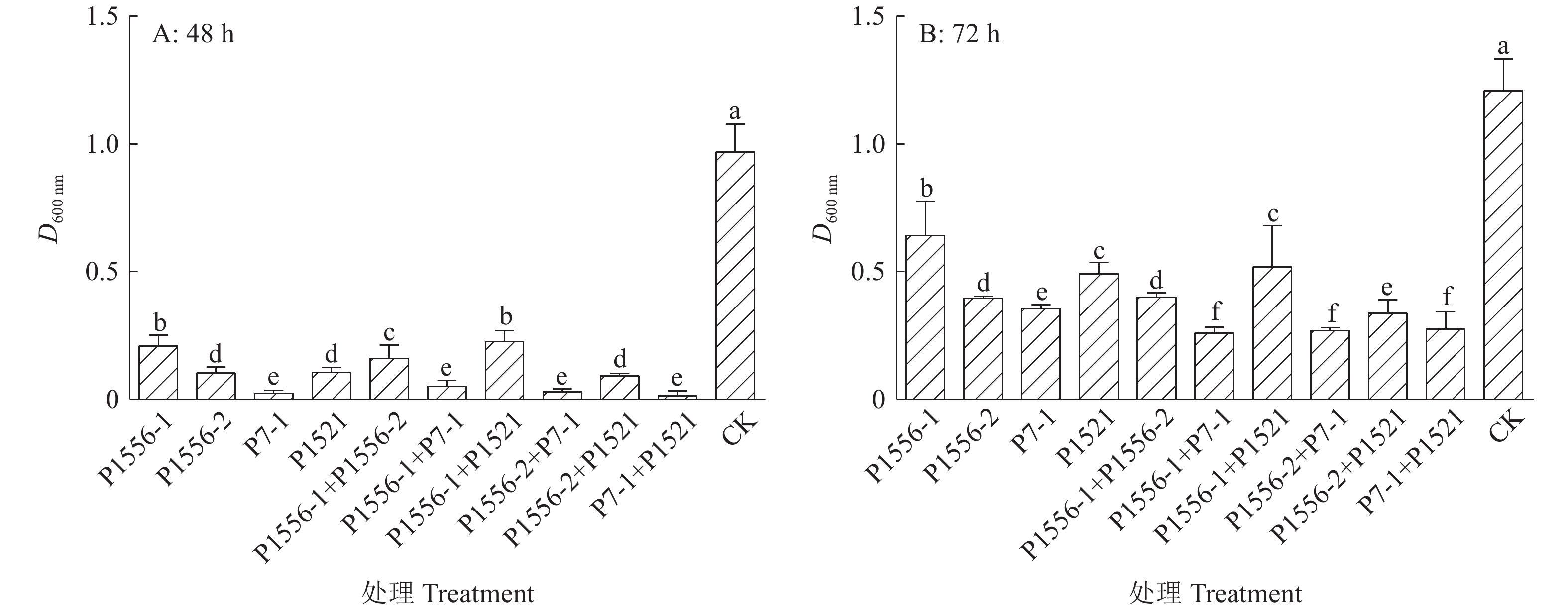
      结果  噬菌体P1556-1产生的噬菌斑最大,裂解青枯菌的能力强。4种噬菌体两两混合产生的噬菌斑与单一噬菌体产生的噬菌斑大小没有显著差异,但可延缓抗噬菌体的青枯菌产生。噬菌体P1556-2可被青枯菌的脂多糖吸附,P1521能被脂多糖和膜蛋白吸附,而P1556-1和P7-1均不能与脂多糖和膜蛋白作用。
      结论  不同噬菌体混合不能提高其裂解青枯菌的能力,但可以延缓抗性青枯菌的产生;不同噬菌体作用受体不同。

       

      Abstract:
      Objective  To investigate the lysis abilities of different phages mixtures against Ralstonia solanacearum, study their effects on the generation of phage-resistant strains, and clarify the receptors of four types of phages.
      Method  Four types of phages, including P1556-1, P1556-2, P7-1 and P1521, were mixed in pairs. The sizes of plaques on R. solanacearum plates were determined. The resistance of R. solanacearum to phages was measured by co-culture of R. solanacearum and phages. Adsorption tests using phages, lipopolysaccharide (LPS) and membrane protein were conducted to determine the receptors of phages.
      Result  Phage P1556-1 produced the largest plaque, indicating a strong lytic ability against R. solanacearum. The plaque sizes from the mixtures of two types of phages did not significantly differ from those of individual phages, while mixing two types of phages could slow down the generation of phage-resistant strains. Phage P1556-2 could be adsorbed by LPS of R. solanacearum, phage P1521 could be adsorbed by both LPS and membrane protein, while phage P1556-1 and P7-1 could be adsorbed by neither LPS nor membrane protein.
      Conclusion  Mixing different phages can not improve the lysis ability against R. solanacearum, but can delay the generation of resistant host strain. The receptors of different phages are different.

       

    /

    返回文章
    返回