韭菜和胜红蓟水浸提液和挥发物对香蕉枯萎病菌的抑制作用

    Inhibitory effects of aqueous leachates and volatiles from Allium tuberosum and Ageratum conyzoides on Fusarium oxysporum f. sp. cubense

    • 摘要:
      目的  比较不同植物水浸提液对香蕉枯萎病菌4号生理小种(Fusarium oxysporum f. sp. cubense race 4,FOC4)的抑制效果,明确韭菜Allium tuberosum和胜红蓟Ageratum conyzoides抑制FOC4的途径。
      方法  采用菌丝生长速率法和孢子萌发法,测定了12种植物水浸提液及韭菜和胜红蓟挥发物对FOC4的抑制效果。
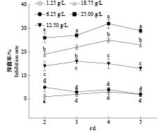
      结果  韭菜根和胜红蓟叶片水浸提液对FOC4具有很好的抑制作用,抑菌率分别达到71%和69%。韭菜叶片和根水浸提液经二氯甲烷萃取,叶片提取液的抑菌率为18.7%,剩余部分的抑菌率为13.0%;根提取液的抑菌率为 39.8%,剩余部分的抑菌率为22.1%;说明水浸提原液中含有的抑菌成分主要为水溶性较低的有机化合物。韭菜叶挥发物对FOC4的抑菌效果比根好,1.25 g/L韭菜鲜叶捣碎后产生的挥发物完全抑制FOC4孢子萌发,1.25 g/L根捣碎后产生的挥发物FOC4孢子萌发数为35个/皿。0.5 g/mL的胜红蓟鲜叶水浸提物对FOC4的抑菌率达到50%以上,抑菌效果明显;胜红蓟挥发物对FOC4的抑制作用不明显,说明胜红蓟的主要抑菌物质并非是挥发物。
      结论  韭菜的水浸提液和挥发物均可抑制FOC4生长,且挥发物的抑菌效果更好;胜红蓟的水浸提液可抑制FOC4生长,但挥发物的抑制作用不明显。

       

      Abstract:
      Objective  To compare anti-fungal effects of aqueous extracts of different plants on Fusarium oxysporum f. sp. cubense race4 (FOC4), the causal agent of banana wilt, and further clarify the releasing approaches of anti-fungal compounds from leek (Allium tuberosum Rottler) and Ageratum conyzoides L.
      Method  Mycelial growth rate method and spore germination method were used to examine the inhibitory effects of aqueous extracts from 12 plant species as well as volatiles from leek and A. conyzoides on mycial growth and spore germination of FOC4.
      Result  Aqueous extracts of leek and A. conyzoides showed strong inhibitory effects on FOC4 colony growth, the inhibition rates were 71% and 69% respectively. Dichloromethane extracts and residuals of aqueous extracts from leek leaves showed the inhibition rates of 18.7% and 13.0% respectively, and dichloromethane extraction and residuals of aqueous extracts from leek roots showed the inhibition rates of 39.8% and 22.1% respectively, which suggested that the main active ingredients were low water-soluble organic compounds. The antifungal effects of leaf volatiles showed stronger than those of root volatiles for leek. The volatiles from fresh leek leaves mashed in a sealed glass jar completely inhibited FOC4 colony growth at the concentration of 1.25 g/L, and FOC4 spore germination number was 35 per dish after treated with volatiles from leek roots at the same concentration. The inhibitory effects of aqueous extracts of A. conyzoides fresh leaves on FOC4 were obvious, and the inhibition rates were more than 50% at the concentration of 0.5 g/L. The inhibitory effects of A. conyzoides volatiles on FOC4 was not obvious suggesting that the main antifungal compounds of A. conyzoides were not volatiles.
      Conclusion  Aqueous extracts and volatiles from leek have strong inhibitory effects on FOC4, and leek volatiles show higher inhibitory effect. Aqueous extracts of A. conyzoides can inhibit FOC4 growth, but the inhibitory effects of its volatiles were not obvious.

       

    /

    返回文章
    返回