分子模拟法研究聚多巴胺与色氨酸的分子印迹手性识别机理

    The chiral recognition mechanism of polydopamine and tryptophan in molecular imprinting via molecular simulation

    • 摘要:
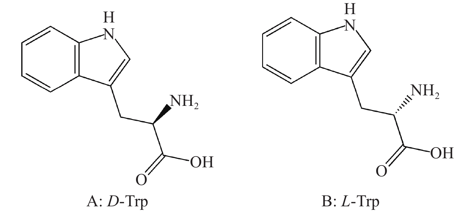
      目的  考察聚多巴胺(PDA)与L−色氨酸(L-Trp)、D−色氨酸(D-Trp)分子间的相互作用差异,以揭示分子印迹手性识别的机理。
      方法  采用计算机分子模拟法研究以手性色氨酸为模板,聚多巴胺为功能单体的分子印迹预组装体系。首先通过构象搜索,获得聚多巴胺四聚体可能的稳定结构;然后采用分子对接研究手性色氨酸分子与多巴胺的作用形式;最后通过量子化学方法,从电子结构层面上分析L-Trp、D-Trp分子与聚多巴胺结合力差异产生的原因。
      结果  Trp与PDA的结合力以氢键作用为主,L-Trp与PDA的氢键作用强于D-Trp;L-Trp与PDA的复合物(L-Trp-PDA)的前线轨道能级差比D-Trp-PDA的大,且前者的结合更紧密,弱相互作用更强。
      结论  分子模拟方法使用相对简便,计算速度快,适用于研究分子印迹手性识别机理。

       

      Abstract:
      Objective  To investigate interactions differences between L-tryptophan (L-Trp), D-tryptophan (D-Trp) enantiomers and polydopamine (PDA), and elucidate the chiral recognition mechanism in molecular imprinting.
      Method  Computational molecular simulation was used for studing the molecularly imprinted pre-polymerization system with tryptophan as template and PDA as functional monomer. Firstly, conformational searching was used to obtain the potential stable structure of PDA tetramer. Then, molecular docking was employed to identify the interaction between Trp enantiomers and PDA. Finally, Quantum-chemical calculation was used to reveal the reason for the binding difference between the enantiomers and PDA from the perspective of electronic structure.
      Result  Hydrogen bonding played a predominate role in the binding between Trp and PDA. The hydrogen bonding force between L-Trp and PDA was stronger than that between D-Trp and PDA. On the other hand, the frontier orbital Energy gap of L-Trp-PDA complex was bigger than that of D-Trp-PDA complex, and the former complex had tighter binding as well as stronger weak interaction.
      Conclusion  Molecular simulation method is easy and rapid to operate, and it’s suitable for studing the chiral recognition mechanism in molecular imprinting.

       

    /

    返回文章
    返回