不同覆土材料对印度丽蘑产量和生理活性的影响

    Effects of different casing materials on yield and physiological activity of Calocybe indica

    • 摘要:
      目的  分析不同覆土材料对印度丽蘑Calocybe indica子实体生长发育的影响,为印度丽蘑在我国的引种栽培提供理论基础。
      方法  以田土(对照)、田土+牛粪(体积比为3∶1)、菌渣、田土+沙子(体积比为3∶1)为覆土材料,研究印度丽蘑子实体的农艺性状和产量,测定可溶性蛋白含量及胞外酶活性的变化。
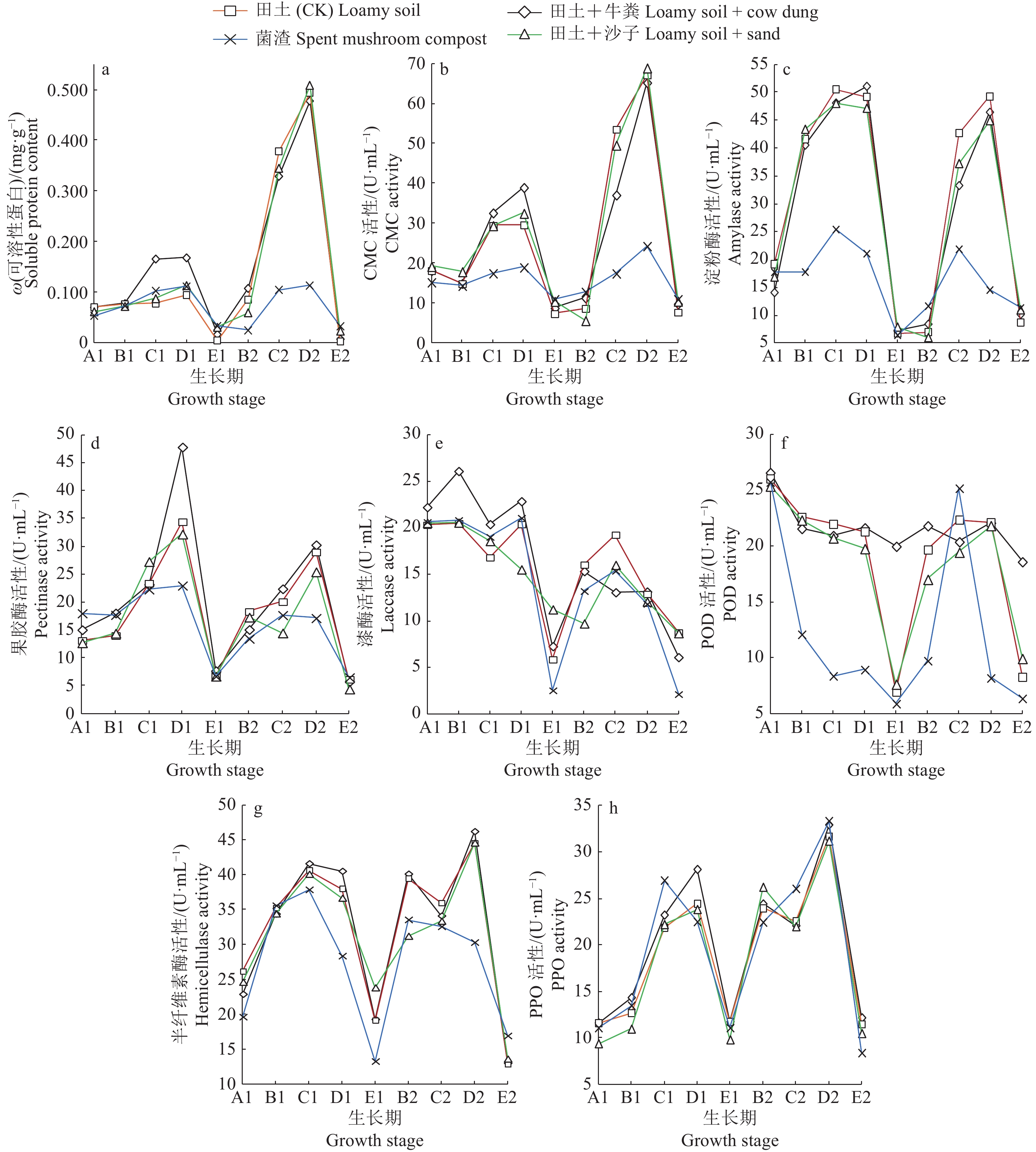
      结果  以田土+牛粪为覆土材料时,产量最高为2 078.50 g、出菇密度最高,现蕾所需时间最短,约为7.67 d;以菌渣为覆土材料时,产量、出菇密度次之,但现蕾所需时间最长,为22.67 d;田土+沙子处理与对照相比,印度丽蘑的产量、单菇质量和出菇密度等方面表现较差。在印度丽蘑不同生长期,各处理的可溶性蛋白含量总体呈上升趋势,且第2潮菇升高幅度更大(菌渣处理除外)。整个生长期,以田土+牛粪为覆土材料时可溶性蛋白含量较高,且胞外酶的活性变化最有利于菌体生长。
      结论  结合印度丽蘑生长情况和经济效益等因素,建议以田土+牛粪为覆土材料。

       

      Abstract:
      Objective  To investigate the effect of different casing materials on growth and development of Calocybe indica, and provide a theoretical basis for introduction and cultivation of Calocybe indica in China.
      Method  Different casing materials including loamy soil(CK), loamy soil+cow dung (volume ratio was 3∶1), spent mushroom compost, loamy soil+sand (volume ratio was 3∶1) were used as casing materials for cultivation of mushroom C. indica, and their effect on the yield and agronomic performance of C. indica sporophore were evaluated. Changes in soluble protein content and extracellular enzyme activity were measured.
      Result  Using loamy soil+cow dung as the casing material resulted in the highest yield of 2 078.50 g, the highest fruiting density and the shortest time for primordium initiation of around 7.67 days. When spent mushroom compost was used as the casing material, the yield and fruiting density of C. indica were ranked second, while the time of primordium initiation was the longest being 22.67 days. Compared with the control treatment, loamy soil+sand resulted in lower yield and fruiting density as well as worse fruiting quality. During different growth stages, in general soluble protein contents in different treatments showed a rising trend and largely increased during the second flush of C. indica (except for spent mushroom compost treatment). Soluble protein content in loamy soil+cow dung treatment was the highest during the whole growth process. Changes of extracellular enzyme activities were the most beneficial to C. indica growth under loamy soil+cow dung treatment.
      Conclusion  Considering C. indica growth status and economic benefits, it is recommended to use loamy soil+cow dung as the casing material.

       

    /

    返回文章
    返回