饲喂高蛋白饲粮对雏鹅盲肠微生物菌群的影响

    Effects of feeding high-protein diets on cecal microflora of goslings

    • 摘要:
      目的  研究饲喂不同蛋白质质量分数的饲粮对雏鹅盲肠微生物菌群结构和数量的影响。【方法】选取1日龄雁鹅72只,随机分成3组:A、B 和C组分别饲喂质量分数为16%、20%和24%的粗蛋白。在第14天每组取6只雁鹅盲肠内容物,进行细菌培养、分离和计数;另每组取3只雁鹅盲肠内容物,根据细菌16S rDNA 的保守性设计引物,采用IlluminaHiSeq测序平台对细菌16S rDNA的V4区基因进行测序,根据序列进行微生物物种多样性分析。
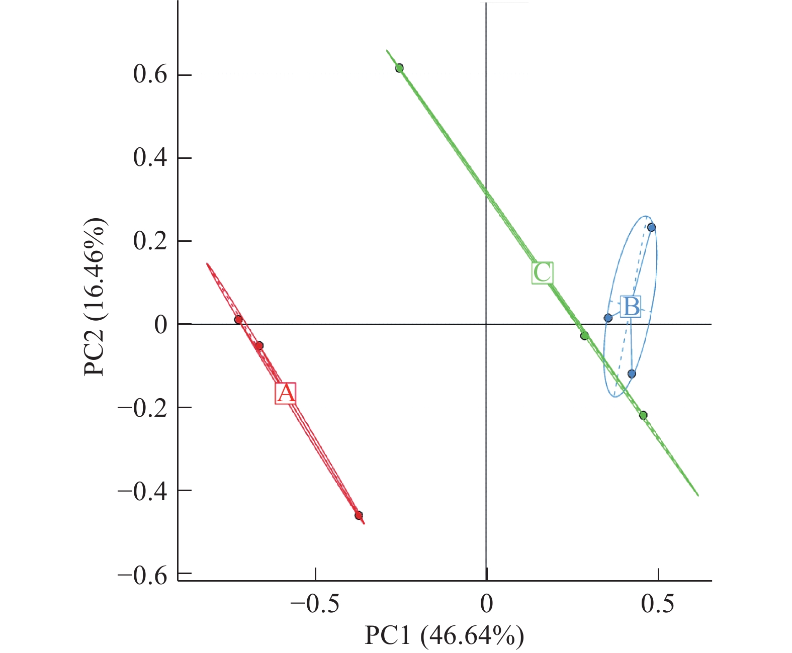
      结果  A、B和C组共获得1 066 175条高质量的细菌16S rDNA序列,3组共有操作分类单元(OTU)数目为1 013 个,主成分1(PC1) 对检测到的总微生物的贡献率为46.64%,主成分2(PC2) 的贡献率为16.46%。门水平上的优势菌群为放线菌门Actinobacteria、拟杆菌Bacteroidetes、厚壁菌门Firmicutes、变形菌门Proteobacteria和疣微菌门Verrucomicrobia等;科水平上的优势菌群为拟杆菌科Bacteroidaceae、肠杆菌科Enterobacteriaceae、毛螺菌科Lachnospiraceae、疣微菌科Ruminococcacea和理研菌科Rikenellaceae;属水平上的优势菌群为艾克曼菌属Akkermansia、拟杆菌属Bacteroides、棒状杆菌Corynebacterium和乳酸菌属Lactococcus。与A组相比,C组双歧杆菌Bifidobacterium的数量显著降低(P<0.05),C 组大肠埃希菌Escherichia coli和沙门氏菌Salmonella数量显著升高(P<0.05)。
      结论  饲喂高蛋白饲粮使雏鹅盲肠微生物菌群多样性和丰度发生变化,使双歧杆菌和乳酸杆菌的数量减少,使大肠埃希菌和沙门氏菌数量增加。

       

      Abstract:
      Objective  To study the effects of feeding the diets at different protein levels on the structure and number of cecal microflora in goslings.
      Method  Seventy-two one-day-old geese were randomly divided into three groups, including group A, B and C fed with diets containing 16%, 20% and 24% crude protein, respectively. On the 14th day, the cecum contents of six geese in each group were used for bacterial culture, isolation and counting. The cecal contents of other three geese in each group were taken, and primer sequences were designed according to the conservation of bacterial 16S rDNA. The V4 region genes of bacterial 16S rDNA were sequenced based on the IlluminaHiSeq sequencing platform, and microbial species diversity was analyzed based on the sequences.
      Result  A total of 1 066 175 high-quality bacterial 16S rDNA sequences were obtained from group A, B and C. The total number of operational taxonomic unit(OTU) shared by three groups was 1 013, the contribution rate of principle component 1 (PC1) to total microbes was 46.64%, and the contribution rate of principle component 2 (PC2) was 16.46%. The dominant flora at the phylum level were Actinobacteria, Bacteroidetes, Firmicutes, Proteobacteria, Verrucomicrobia and etc. The dominant flora at the family level were Bacteroidaceae, Enterobacteriaceae, Lachnospiraceae, Ruminococcacea, and Rikenellaceae. The dominant flora at the genus level were Akkermansia, Bacteroides, Corynebacterium and Lactococcus. Comparing with group A, the number of Bifidobacteria in group C was significantly lower (P<0.05), and the number ofEscherichia coli and Salmonella in group C were significantly higher (P<0.05).
      Conclusion  Feeding high-protein diet can change the diversity and abundance of cecal microflora in goslings, reduces the number of bifidobacteria and lactobacilli, and increases the number of E. coli and Salmonella.

       

    /

    返回文章
    返回