不同生态亚区土壤和气候对浓香型烤烟光合特性和化学成分的影响

    Effects of soil and climate on photosynthetic characteristics and chemical constituents of strong-flavor flue-cured tobacco in different ecological subregions

    • 摘要:
      目的  探讨主要生态因子对浓香型烤烟Nicotiana tabacum L.烟叶风格特征形成的影响。
      方法  以‘粤烟97’为材料,利用南雄烟区帽子峰和古市生态亚区生态条件与地域的微观差异,在2个生态亚区之间互相置换相同质地土壤,设置4个处理,研究不同生态亚区土壤和气候因子对烟叶光合作用和烤后烟叶化学成分含量及协调性的影响。
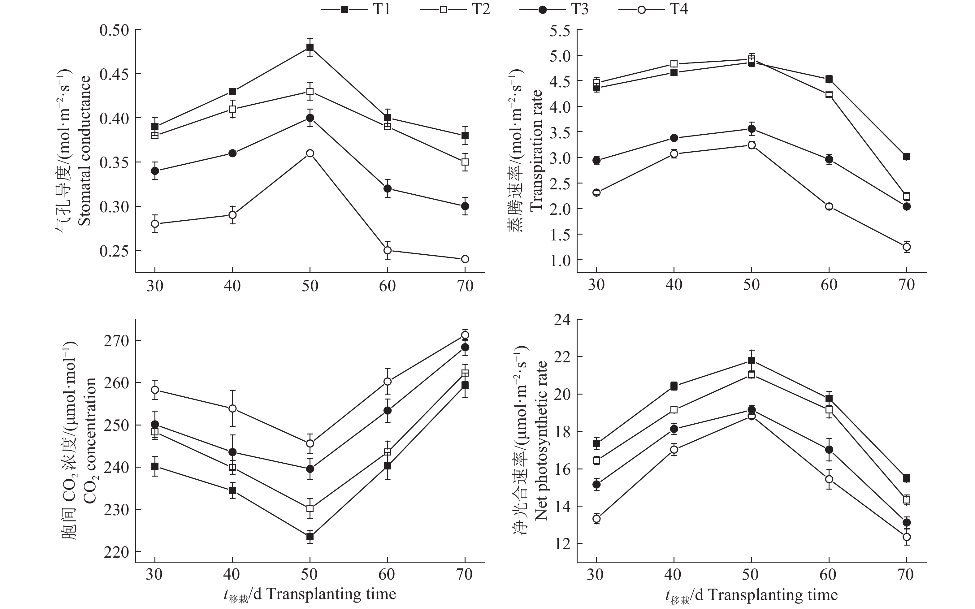
      结果  移栽50 d时,帽子峰土壤置换到古市(T1处理)后种植的烤烟的净光合速率比古市当地土壤和气候条件(T2处理)下种植的烤烟高3.66%;中部叶总糖、还原糖和淀粉含量分别降低5.74%、4.77%和10.73%,烟碱、K+和总氮含量分别提高6.49%、11.07%和11.34%。同时,古市土壤置换到帽子峰(T3处理)后种植的烤烟的净光合速率比帽子峰当地土壤和气候条件(T4处理)下种植的烤烟高1.81%;中部叶还原糖和烟碱含量分别降低10.02%和13.14%,淀粉含量提高9.30%。气候对总糖、还原糖、烟碱、总氮和淀粉含量,氮碱比,气孔导度,蒸腾速率,胞间CO2浓度和净光合速率均有显著影响;土壤与气候互作对还原糖、烟碱、总氮和淀粉含量,氮碱比及气孔导度有显著影响;土壤仅对K+和总氮含量及糖碱比有显著影响。
      结论  气候是浓香型烟叶风格特征形成最主要的影响因子,尤其是伸根期与旺长期的降水量和平均气温,其次是土壤与气候互作,土壤因子的影响最小。古市的气候条件更适合浓香型优质烟叶的生产。

       

      Abstract:
      Objective  To investigate the effects of main ecological factors on feature formation of strong-flavor flue-cured tobacco.
      Method  ‘Yueyan 97’ was chosed as test material. According to the small differences on ecological condition and territory between two ecological subregions (Maozifeng and Gushi) in Nanxiong tobacco-growing area, four treatments by interchanging soil with the same texture were setted to study the effects of soil and climate on photosynthetic characteristics, chemical constituent contents and coordinations of strong-flavor flue-cured tobacco in different ecological subregions.
      Result  On the 50th day after transplanting, compared with tobacco planted in Gushi with local sandy soil and climate condition (T2), the net photosynthetic rate of tobacco planted in Gushi with Maozifeng sandy soil (T1) increased by 3.66%; the contents of total sugar, reducing sugar and starch in middle leaves decreased by 5.74%, 4.77% and 10.73% respectively, and the contents of nicotine, K+ and total nitrogen increased by 6.49%, 11.07% and 11.34% respectively. Meanwhile, compared with tobacco planted in Maozifeng with local sandy soil and climate condition (T4), the net photosynthetic rate of tobacco planted in Maozifeng with Gushi sandy soil (T3) increased by 1.81%, the contents of reducing sugar and nicotine in middle leaves decreased by 10.02% and 13.14% respectively, and starch content increased by 9.30%. The climate had significant impacts on the contents of total sugar, reducing sugar, nicotine , total nitrogen and starch, nitrogen-nicotine ratio, stomatal conductance, transpiration rate, intercellular CO2 concentration and net photosynthetic rate; soil and climate interaction had significant impacts on the contents of reducing sugar, nicotine, total nitrogen and starch, nitrogen-nicotine ratio and stomatal conductance; soil had significant impacts on the contents of K+ and total nitrogen and sugar-nicotine ratio.
      Conclusion  Climate is the main factor affecting the feature formation of strong-flavor flue-cured tobacco, especially precipitation amount and mean temperature at root spreading and fast growing stages, followed by the interaction of soil and climate, and soil has the minimal role. The climate of Gushi is more suitable for production of superior strong-flavor tobacco leaves.

       

    /

    返回文章
    返回