基于PCR-CRISPR/Cas12a技术的肠炎沙门菌快速检测方法

    A fast method for detecting Salmonella enteritidis based on PCR-CRISPR/Cas12a

    • 摘要:
      目的 针对食源性病原菌肠炎沙门菌Salmonella enteritidis,开发一种CRISPR(Clustered regularly interspaced short palindromic repeat)技术结合聚合酶链式反应(Polymerase chain reaction, PCR)的检测方法,以实现肠炎沙门菌的早期快速诊断和防控。
      方法 根据保守基因sdfI序列,进行PCR引物筛选。使用不同质量浓度的肠炎沙门菌基因组进行灵敏度测试;利用大肠埃希菌Escherichia coli、金黄色葡萄球菌Staphylococcus aureus、多杀性巴氏杆菌Pasteurella multocida、粪肠球菌Salmonella choleraesuis、猪霍乱沙门氏菌Enterococcus faecalis基因组进行特异性检验。最后,使用建立的方法检测小肠样品中肠炎沙门菌的污染情况。
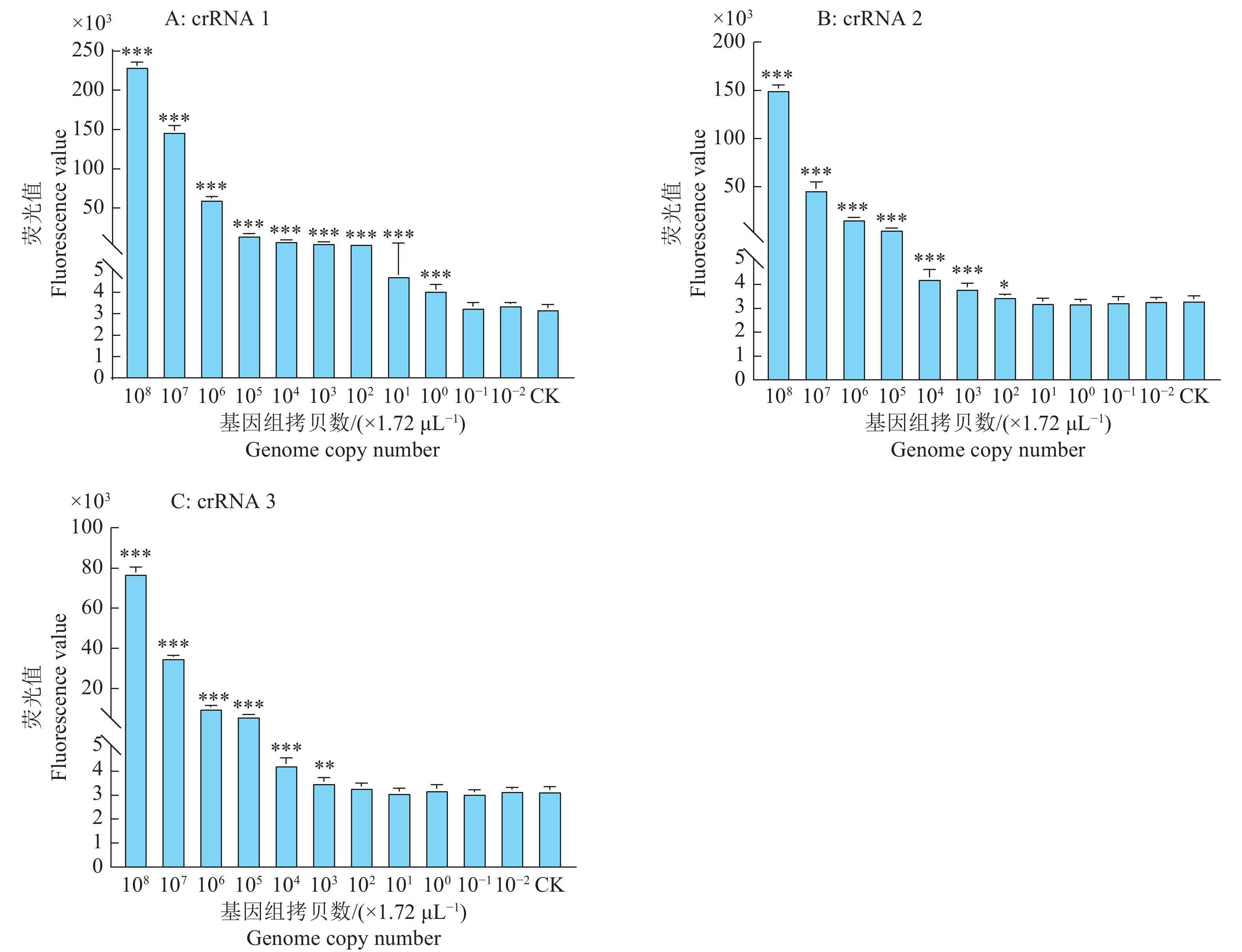
      结果 该方法可检出小肠样品中的肠炎沙门菌,检测限为1.72 × 100 μL−1,特异性良好,且与大肠埃希菌、金黄色葡萄球菌、多杀性巴氏杆菌、粪肠球菌、猪霍乱沙门氏菌均无交叉反应。
      结论 本研究建立了一种较为轻便、可用于早期诊断肠炎沙门菌的方法,具有良好的灵敏度和特异性,为肠炎沙门菌快速诊断提供了新方法。

       

      Abstract:
      Objective To realize early detection, prevention and control of Salmonella enteritidis, a detection method was established by combining CRISPR(Clustered regularly interspaced short palindromic repeat) technology with polymerase chain reaction (PCR).
      Method PCR primers were screened based on the conserved sdfI gene sequence. The sensitivity test was conducted using S. enteritidis genomes at different concentrations, while the specificity tests were conducted using the genomes of Escherichia coli, Staphylococcus aureus, Pasteurella multocida, Salmonella choleraesuis and Enterococcus faecalis. Subsequently, the developed method was applied for the detection of S. enteritidis in small intestinal samples.
      Result This method was capable of identifying S. enteritidis in small intestinal samples, with a detection limit of 1.72 × 100 μL−1, showing excellent specificity and no cross-reactivity with E. coli, S. aureus, P. multocida, S. choleraesuis and E. faecalis.
      Conclusion This study develops a compact diagnostic method for the early detection of S. enteritidis, showing excellent sensitivity and specificity. This innovation presents a fresh perspective for the swift identification of S. enteritidis.

       

    /

    返回文章
    返回